🇳🇴 🇬🇧 🇩🇪 🇨🇿 🇫🇮

Meteor, poloha: Moen 2022-12-13 05:35:56 UTC

Soubor KML  |  InteraktivnĂ­ mapa

Mapa zobrazuje dráhy meteoru. Světlejší čáry ukazují směry od pozorovacích stanic při objevení se meteoru a tmavší čáry, kde byl naposledy viděn. Modrá šipka značí viditelnou dráhu meteoru.

static map
height profile
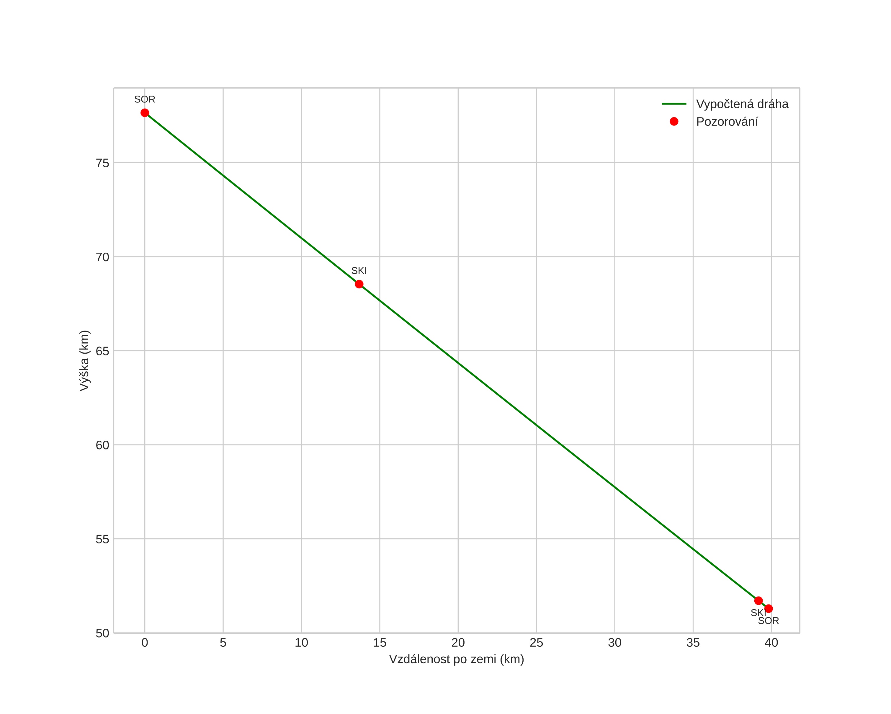
Atmosférická dráha meteoru:
Počáteční výška: 77,2 km
Konečná výška: 51,6 km
Počáteční poloha: 69,661N 18,002E
Konečná poloha: 69,417N 18,723E
Směr: 133,8°
Sklon: 33,3°
VstupnĂ­ rychlost: 21,7 km/s
Rektascenze radiantu: 04:05 (61,3°)
Deklinace radiantu: 41,0°
MeteorickĂ˝ roj: sporadickĂ˝
Elementy dráhy meteoroidu:
Vzdálenost v periheliu: 0,758 AU
Excentricita: 0,758
Sklon dráhy: 10,4°
Délka vzestupného uzlu: 260,8°
Argument perihelia: 242,2°
Střední anomálie: 353,3°
Epocha: 2022 DEC 13 05:35:56
orbit plot

NeinteraktivnĂ­ graf | InteraktivnĂ­ graf

position vs time
speed and acceleration