🇳🇴 🇬🇧 🇩🇪 🇨🇿 🇫🇮

Meteor Moenin yllä 2022-12-13 05:35:56 UTC

KML-tiedosto  |  Interaktiivinen kartta

Kartta näyttää meteorin suuntahavainnot. Vaaleammat viivat näyttävät suunnat havaintoasemilta meteorin ilmestyessä, ja tummemmat viivat näyttävät, missä se viimeksi nähtiin. Sininen nuoli näyttää meteorin näkyvän lennon.

static map
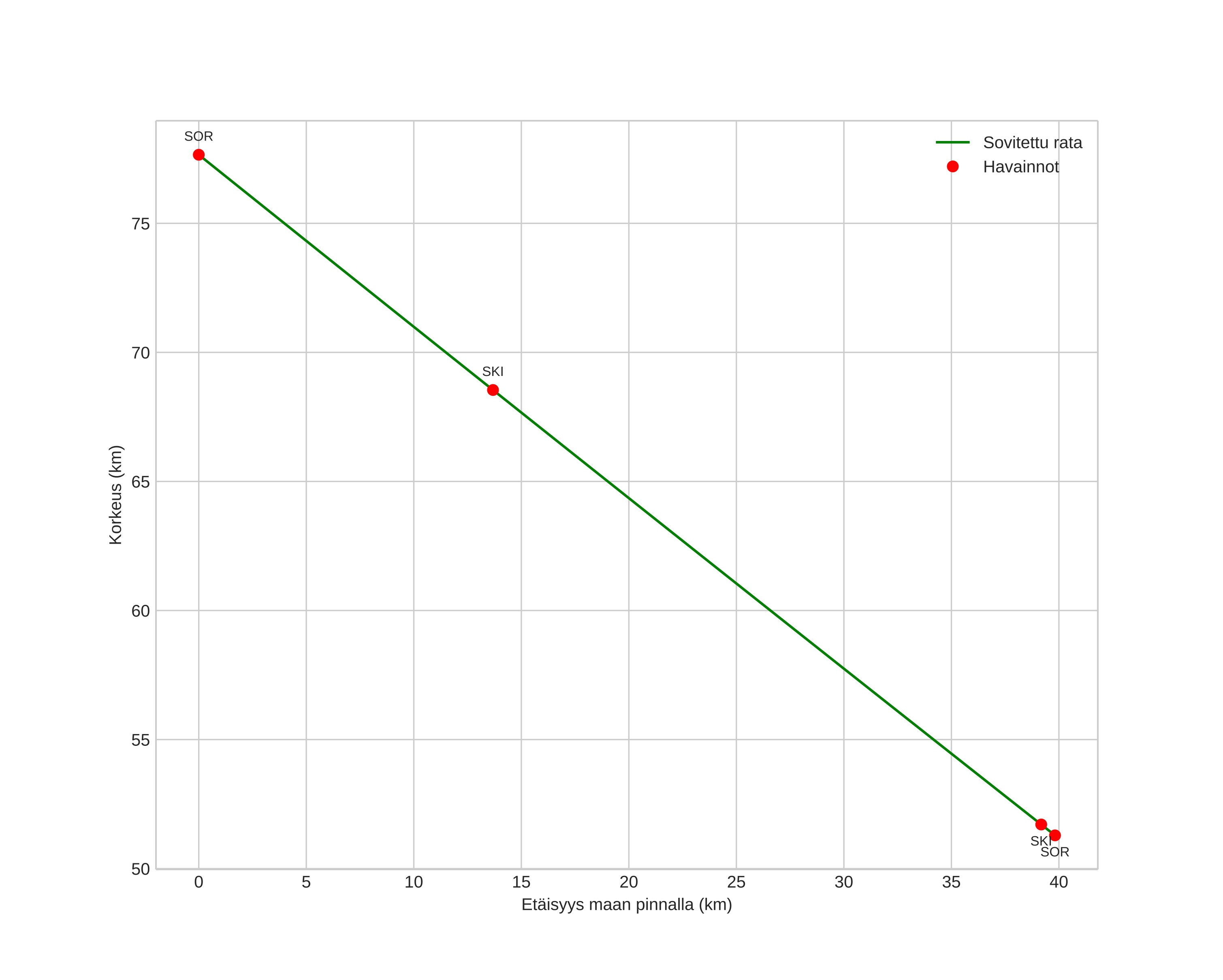
height profile
Meteorin ilmakehärata:
Alkukorkeus: 77,2 km
Loppukorkeus: 51,6 km
Alkupiste: 69,661N 18,002E
Loppupiste: 69,417N 18,723E
Suunta: 133,8°
Kallistuskulma: 33,3°
Tulonopeus: 21,7 km/s
Radiantin R,A,: 04:05 (61,3°)
Radiantin Dekl,: 41,0°
Meteoriparvi: Sporadinen
Meteoroidin rataelementit:
Perihelietäisyys: 0,758 AU
Eksentrisyys: 0,758
Inklinaatio: 10,4°
Nousevan solmun pituus: 260,8°
Perihelin argumentti: 242,2°
Keskianomalia: 353,3°
Epookki: 2022 DEC 13 05:35:56
orbit plot

Ei-interaktiivinen kuvaaja | Interaktiivinen kuvaaja

position vs time
speed and acceleration