🇳🇴 🇬🇧 🇩🇪 🇨🇿 🇫🇮

Meteor, poloha: Sørreisa 2022-12-13 06:40:12 UTC

Soubor KML  |  InteraktivnĂ­ mapa

Mapa zobrazuje dráhy meteoru. Světlejší čáry ukazují směry od pozorovacích stanic při objevení se meteoru a tmavší čáry, kde byl naposledy viděn. Modrá šipka značí viditelnou dráhu meteoru.

static map
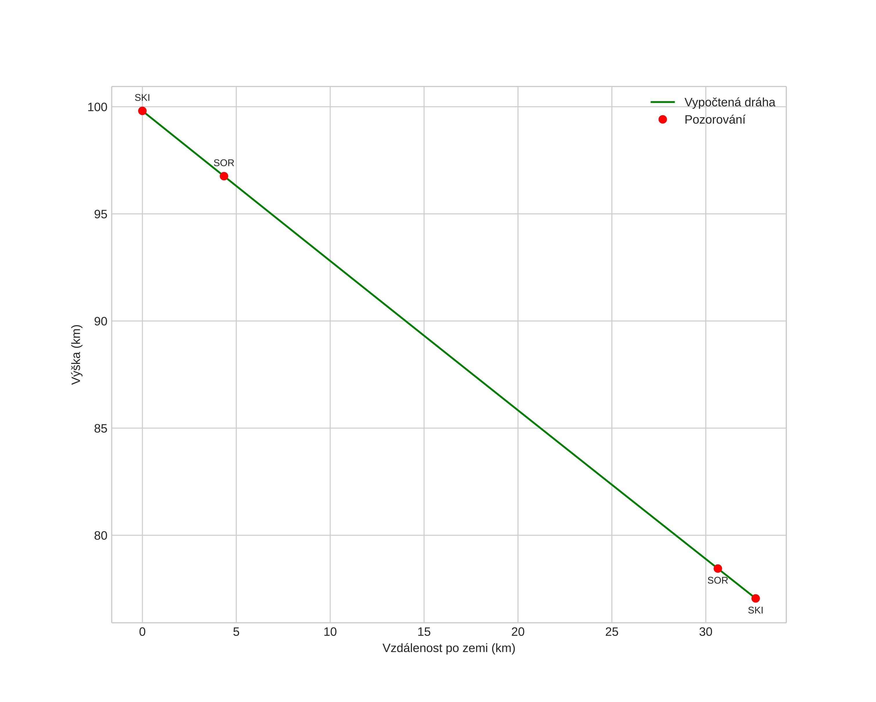
height profile
Atmosférická dráha meteoru:
Počáteční výška: 106,3 km
Konečná výška: 80,0 km
Počáteční poloha: 69,545N 17,428E
Konečná poloha: 69,487N 18,378E
Směr: 99,4°
Sklon: 35,0°
VstupnĂ­ rychlost: 38,9 km/s
Rektascenze radiantu: 07:34 (113,7°)
Deklinace radiantu: 34,5°
MeteorickĂ˝ roj: Geminidy
Elementy dráhy meteoroidu:
Vzdálenost v periheliu: 0,128 AU
Excentricita: 0,921
Sklon dráhy: 33,3°
Délka vzestupného uzlu: 260,9°
Argument perihelia: 324,5°
Střední anomálie: 343,1°
Epocha: 2022 DEC 13 06:40:12
orbit plot

NeinteraktivnĂ­ graf | InteraktivnĂ­ graf

position vs time
speed and acceleration