🇳🇴 🇬🇧 🇩🇪 🇨🇿 🇫🇮

Meteor Sørreisan yllä 2022-12-13 06:40:12 UTC

KML-tiedosto  |  Interaktiivinen kartta

Kartta näyttää meteorin suuntahavainnot. Vaaleammat viivat näyttävät suunnat havaintoasemilta meteorin ilmestyessä, ja tummemmat viivat näyttävät, missä se viimeksi nähtiin. Sininen nuoli näyttää meteorin näkyvän lennon.

static map
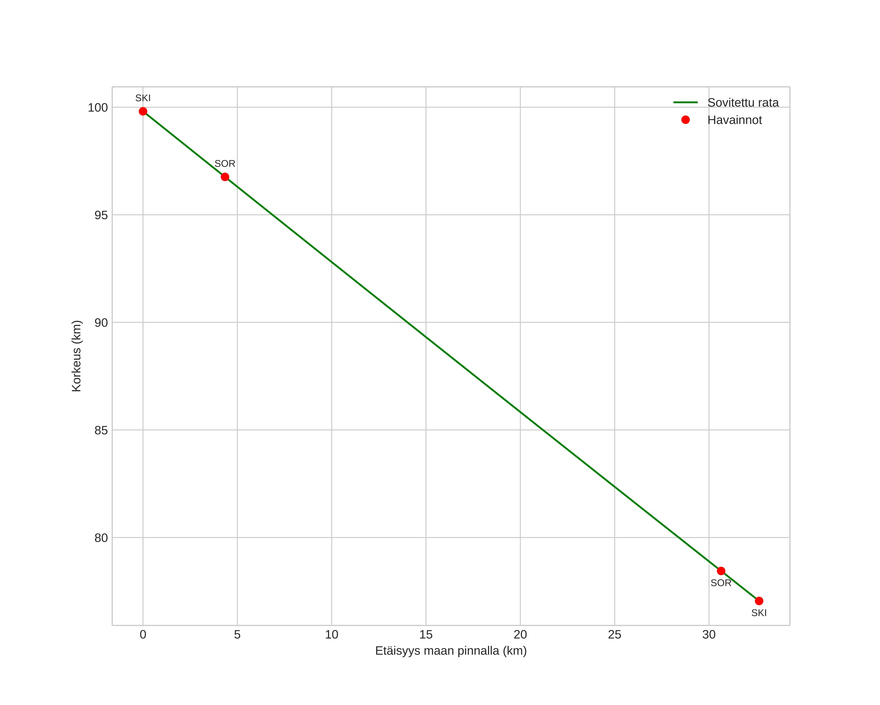
height profile
Meteorin ilmakehärata:
Alkukorkeus: 106,3 km
Loppukorkeus: 80,0 km
Alkupiste: 69,545N 17,428E
Loppupiste: 69,487N 18,378E
Suunta: 99,4°
Kallistuskulma: 35,0°
Tulonopeus: 38,9 km/s
Radiantin R,A,: 07:34 (113,7°)
Radiantin Dekl,: 34,5°
Meteoriparvi: Geminidit
Meteoroidin rataelementit:
Perihelietäisyys: 0,128 AU
Eksentrisyys: 0,921
Inklinaatio: 33,3°
Nousevan solmun pituus: 260,9°
Perihelin argumentti: 324,5°
Keskianomalia: 343,1°
Epookki: 2022 DEC 13 06:40:12
orbit plot

Ei-interaktiivinen kuvaaja | Interaktiivinen kuvaaja

position vs time
speed and acceleration