🇳🇴 🇬🇧 🇩🇪 🇨🇿 🇫🇮

Meteor, poloha: Finnsnes 2022-12-13 14:21:17 UTC

Soubor KML  |  InteraktivnĂ­ mapa

Mapa zobrazuje dráhy meteoru. Světlejší čáry ukazují směry od pozorovacích stanic při objevení se meteoru a tmavší čáry, kde byl naposledy viděn. Modrá šipka značí viditelnou dráhu meteoru.

static map
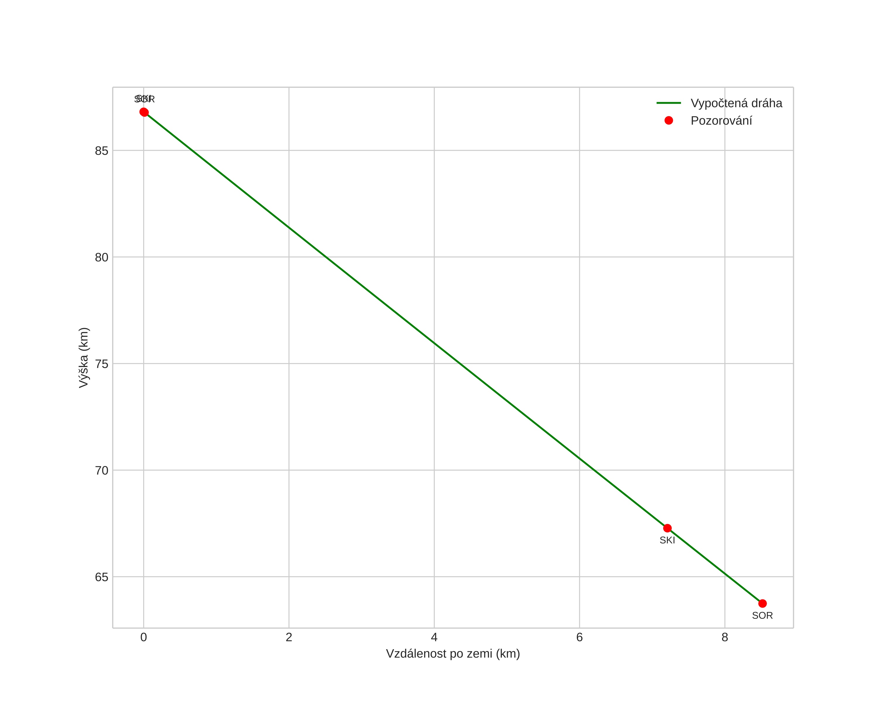
height profile
Atmosférická dráha meteoru:
Počáteční výška: 86,4 km
Konečná výška: 63,5 km
Počáteční poloha: 71,152N 17,285E
Konečná poloha: 71,222N 17,240E
Směr: 348,2°
Sklon: 71,0°
VstupnĂ­ rychlost: 18,7 km/s
Rektascenze radiantu: 21:21 (320,4°)
Deklinace radiantu: 50,1°
MeteorickĂ˝ roj: sporadickĂ˝
Elementy dráhy meteoroidu:
Vzdálenost v periheliu: 0,984 AU
Excentricita: 0,769
Sklon dráhy: 19,0°
Délka vzestupného uzlu: 261,2°
Argument perihelia: 180,9°
Střední anomálie: 359,9°
Epocha: 2022 DEC 13 14:21:17
orbit plot

NeinteraktivnĂ­ graf | InteraktivnĂ­ graf

position vs time
speed and acceleration