🇳🇴 🇬🇧 🇩🇪 🇨🇿 🇫🇮

Meteor Finnsnesin yllä 2022-12-13 14:21:17 UTC

KML-tiedosto  |  Interaktiivinen kartta

Kartta näyttää meteorin suuntahavainnot. Vaaleammat viivat näyttävät suunnat havaintoasemilta meteorin ilmestyessä, ja tummemmat viivat näyttävät, missä se viimeksi nähtiin. Sininen nuoli näyttää meteorin näkyvän lennon.

static map
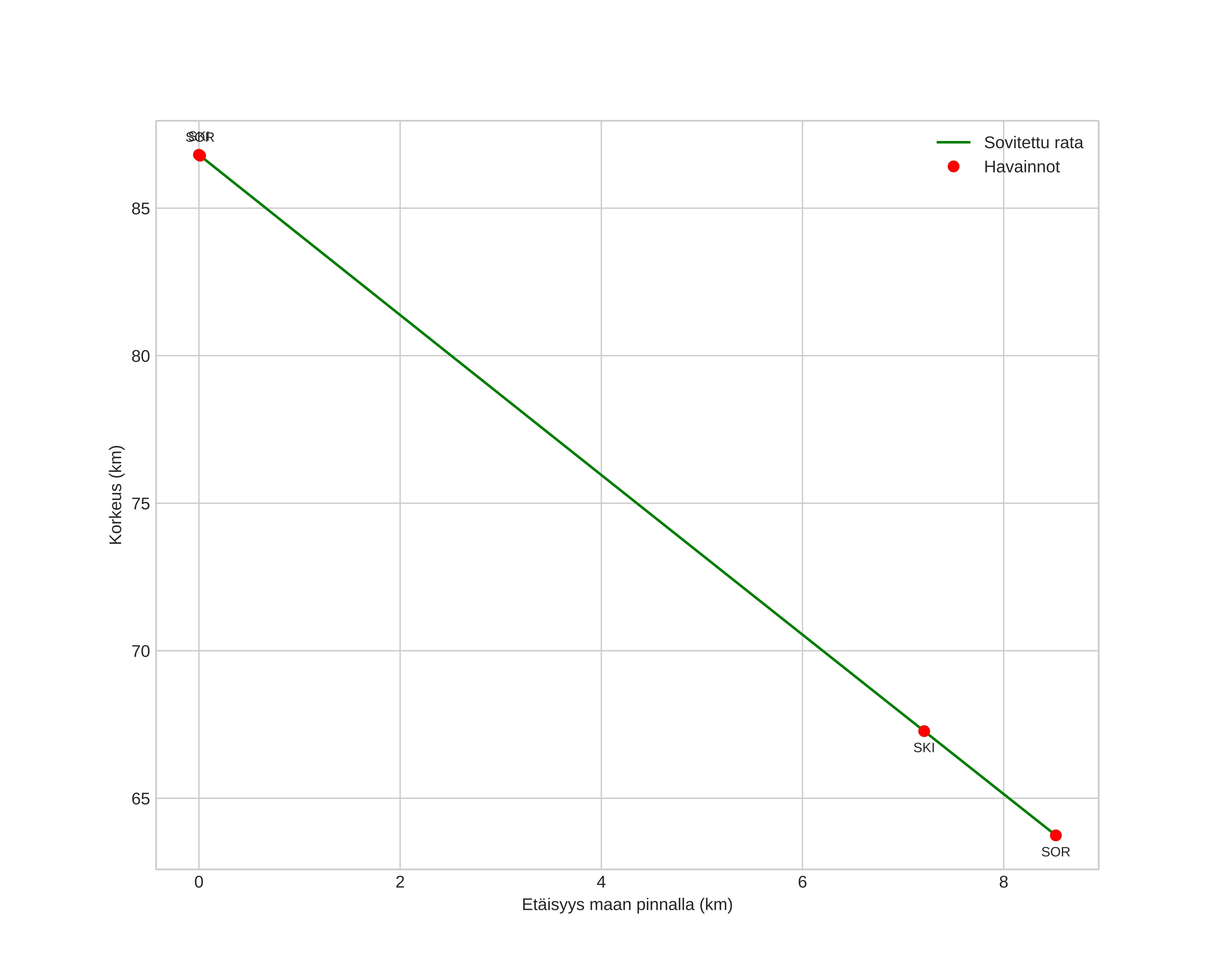
height profile
Meteorin ilmakehärata:
Alkukorkeus: 86,4 km
Loppukorkeus: 63,5 km
Alkupiste: 71,152N 17,285E
Loppupiste: 71,222N 17,240E
Suunta: 348,2°
Kallistuskulma: 71,0°
Tulonopeus: 18,7 km/s
Radiantin R,A,: 21:21 (320,4°)
Radiantin Dekl,: 50,1°
Meteoriparvi: Sporadinen
Meteoroidin rataelementit:
Perihelietäisyys: 0,984 AU
Eksentrisyys: 0,769
Inklinaatio: 19,0°
Nousevan solmun pituus: 261,2°
Perihelin argumentti: 180,9°
Keskianomalia: 359,9°
Epookki: 2022 DEC 13 14:21:17
orbit plot

Ei-interaktiivinen kuvaaja | Interaktiivinen kuvaaja

position vs time
speed and acceleration