🇳🇴 🇬🇧 🇩🇪 🇨🇿 🇫🇮

Meteor, poloha: Ă…l 2022-12-14 16:17:33 UTC

Soubor KML  |  InteraktivnĂ­ mapa

Mapa zobrazuje dráhy meteoru. Světlejší čáry ukazují směry od pozorovacích stanic při objevení se meteoru a tmavší čáry, kde byl naposledy viděn. Modrá šipka značí viditelnou dráhu meteoru.

static map
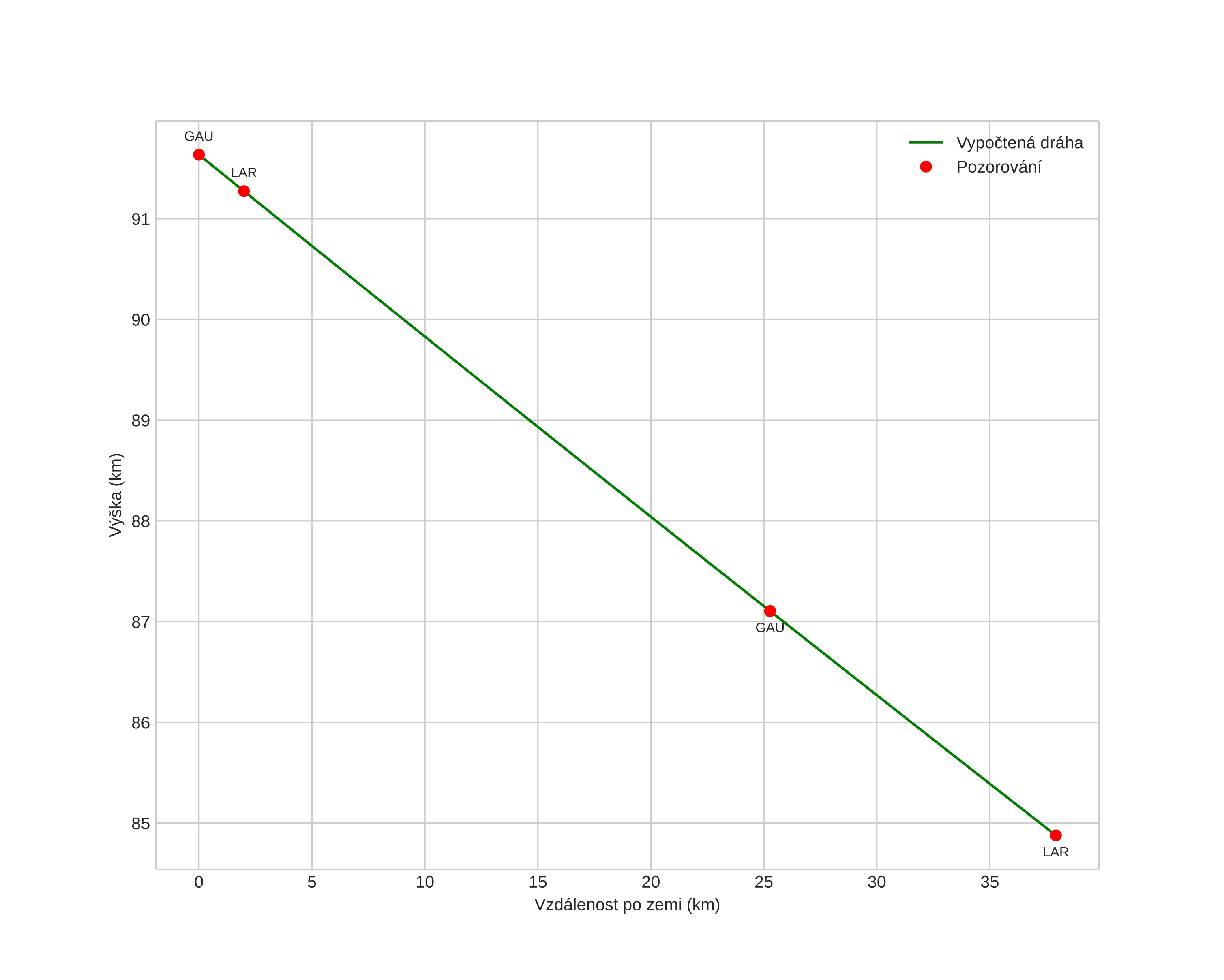
height profile
Atmosférická dráha meteoru:
Počáteční výška: 91,5 km
Konečná výška: 86,2 km
Počáteční poloha: 60,851N 9,043E
Konečná poloha: 60,647N 8,735E
Směr: 216,6°
Sklon: 10,7°
VstupnĂ­ rychlost: 38,4 km/s
Rektascenze radiantu: 07:32 (113,1°)
Deklinace radiantu: 31,3°
MeteorickĂ˝ roj: Geminidy
Elementy dráhy meteoroidu:
Vzdálenost v periheliu: 0,125 AU
Excentricita: 0,924
Sklon dráhy: 23,9°
Délka vzestupného uzlu: 262,3°
Argument perihelia: 325,0°
Střední anomálie: 343,2°
Epocha: 2022 DEC 14 16:17:33
orbit plot

NeinteraktivnĂ­ graf | InteraktivnĂ­ graf

position vs time
speed and acceleration