🇳🇴 🇬🇧 🇩🇪 🇨🇿 🇫🇮

Meteor, poloha: Thyborøn 2022-12-14 18:28:05 UTC

Soubor KML  |  InteraktivnĂ­ mapa

Mapa zobrazuje dráhy meteoru. Světlejší čáry ukazují směry od pozorovacích stanic při objevení se meteoru a tmavší čáry, kde byl naposledy viděn. Modrá šipka značí viditelnou dráhu meteoru.

static map
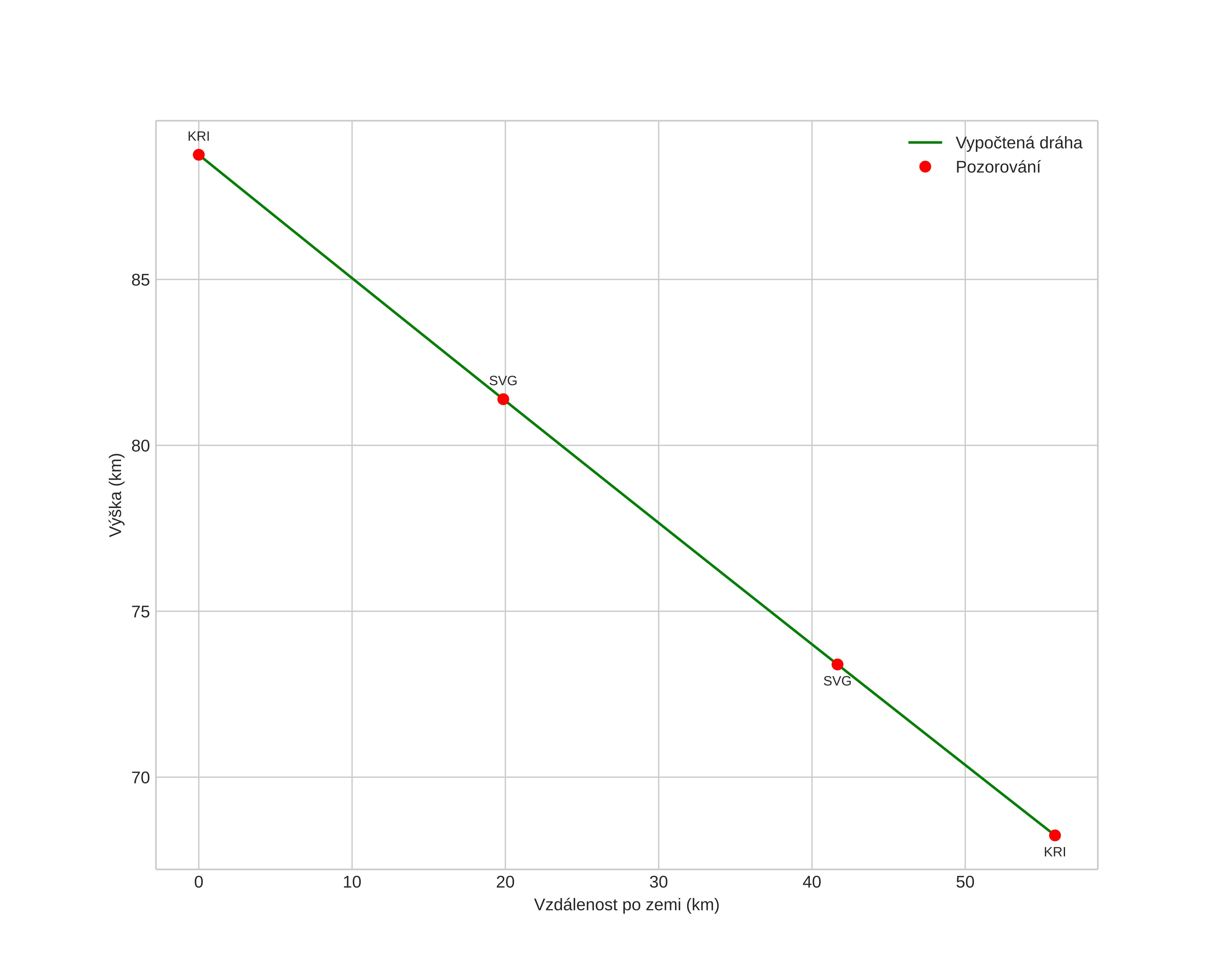
height profile
Atmosférická dráha meteoru:
Počáteční výška: 88,8 km
Konečná výška: 68,2 km
Počáteční poloha: 56,991N 9,062E
Konečná poloha: 56,722N 8,287E
Směr: 237,9°
Sklon: 20,2°
VstupnĂ­ rychlost: 36,2 km/s
Rektascenze radiantu: 07:46 (116,6°)
Deklinace radiantu: 32,8°
MeteorickĂ˝ roj: Geminidy
Elementy dráhy meteoroidu:
Vzdálenost v periheliu: 0,130 AU
Excentricita: 0,894
Sklon dráhy: 26,8°
Délka vzestupného uzlu: 262,4°
Argument perihelia: 327,1°
Střední anomálie: 332,6°
Epocha: 2022 DEC 14 18:28:05
orbit plot

NeinteraktivnĂ­ graf | InteraktivnĂ­ graf

position vs time
speed and acceleration