🇳🇴 🇬🇧 🇩🇪 🇨🇿 🇫🇮

Meteor Thyborønin yllä 2022-12-14 18:28:05 UTC

KML-tiedosto  |  Interaktiivinen kartta

Kartta näyttää meteorin suuntahavainnot. Vaaleammat viivat näyttävät suunnat havaintoasemilta meteorin ilmestyessä, ja tummemmat viivat näyttävät, missä se viimeksi nähtiin. Sininen nuoli näyttää meteorin näkyvän lennon.

static map
height profile
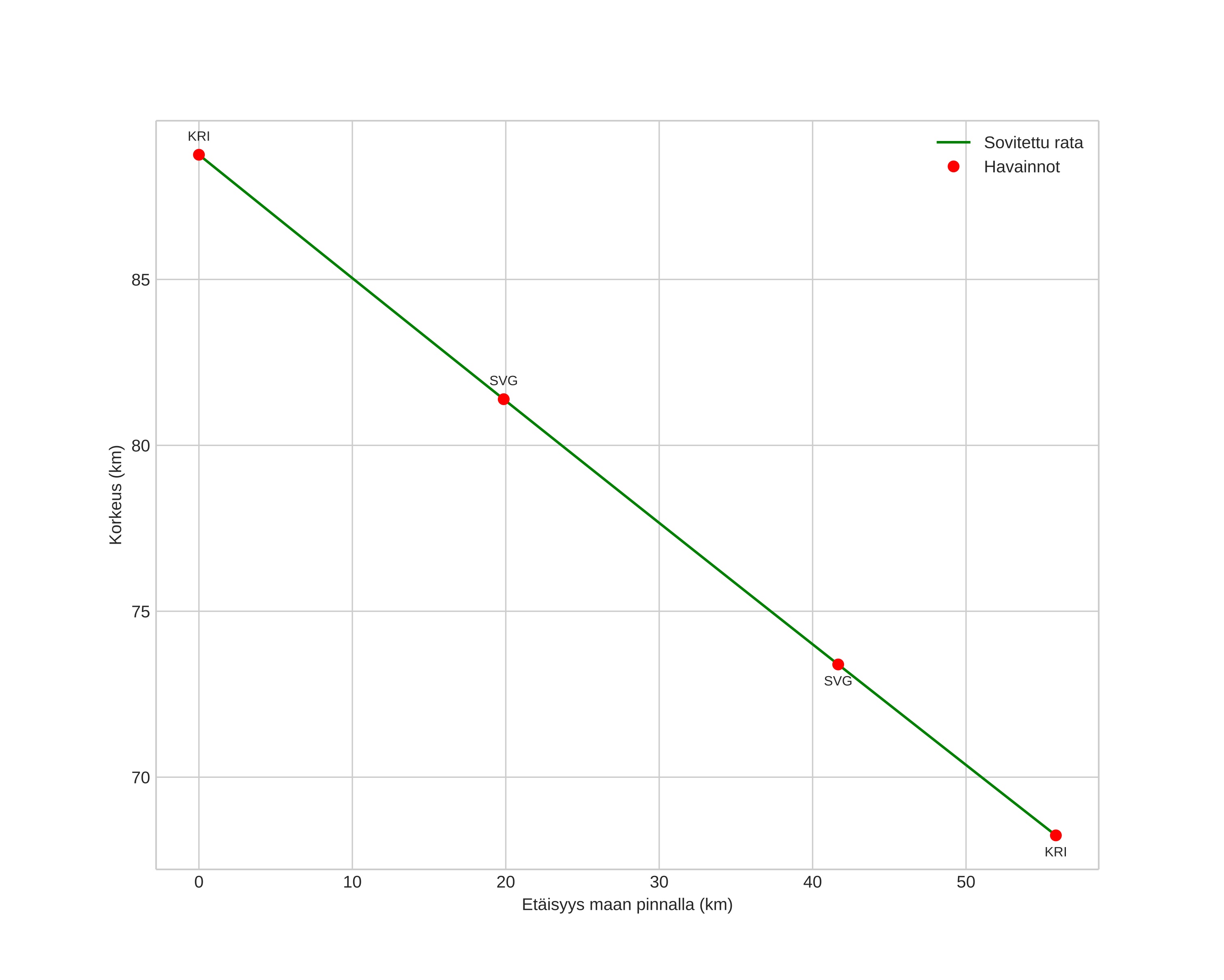
Meteorin ilmakehärata:
Alkukorkeus: 88,8 km
Loppukorkeus: 68,2 km
Alkupiste: 56,991N 9,062E
Loppupiste: 56,722N 8,287E
Suunta: 237,9°
Kallistuskulma: 20,2°
Tulonopeus: 36,2 km/s
Radiantin R,A,: 07:46 (116,6°)
Radiantin Dekl,: 32,8°
Meteoriparvi: Geminidit
Meteoroidin rataelementit:
Perihelietäisyys: 0,130 AU
Eksentrisyys: 0,894
Inklinaatio: 26,8°
Nousevan solmun pituus: 262,4°
Perihelin argumentti: 327,1°
Keskianomalia: 332,6°
Epookki: 2022 DEC 14 18:28:05
orbit plot

Ei-interaktiivinen kuvaaja | Interaktiivinen kuvaaja

position vs time
speed and acceleration