🇳🇴 🇬🇧 🇩🇪 🇨🇿 🇫🇮

Meteor, poloha: Ed 2022-12-14 20:28:10 UTC

Soubor KML  |  InteraktivnĂ­ mapa

Mapa zobrazuje dráhy meteoru. Světlejší čáry ukazují směry od pozorovacích stanic při objevení se meteoru a tmavší čáry, kde byl naposledy viděn. Modrá šipka značí viditelnou dráhu meteoru.

static map
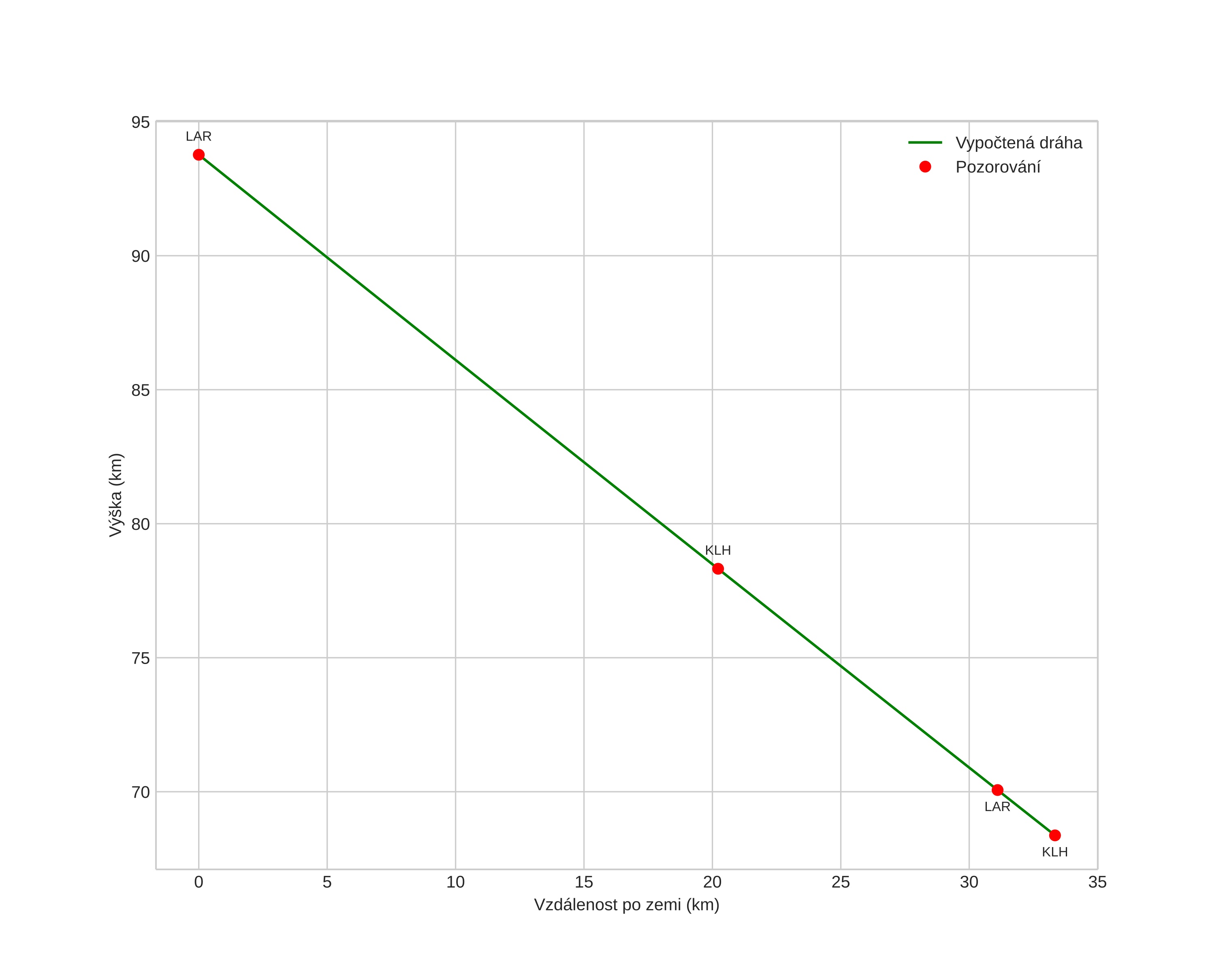
height profile
Atmosférická dráha meteoru:
Počáteční výška: 94,8 km
Konečná výška: 68,4 km
Počáteční poloha: 58,776N 12,594E
Konečná poloha: 58,763N 11,992E
Směr: 268,0°
Sklon: 37,2°
VstupnĂ­ rychlost: 40,3 km/s
Rektascenze radiantu: 07:32 (113,2°)
Deklinace radiantu: 31,4°
MeteorickĂ˝ roj: Geminidy
Elementy dráhy meteoroidu:
Vzdálenost v periheliu: 0,114 AU
Excentricita: 0,942
Sklon dráhy: 26,7°
Délka vzestupného uzlu: 262,5°
Argument perihelia: 325,3°
Střední anomálie: 347,8°
Epocha: 2022 DEC 14 20:28:10
orbit plot

NeinteraktivnĂ­ graf | InteraktivnĂ­ graf

position vs time
speed and acceleration