🇳🇴 🇬🇧 🇩🇪 🇨🇿 🇫🇮

Meteor Edin yllä 2022-12-14 20:28:10 UTC

KML-tiedosto  |  Interaktiivinen kartta

Kartta näyttää meteorin suuntahavainnot. Vaaleammat viivat näyttävät suunnat havaintoasemilta meteorin ilmestyessä, ja tummemmat viivat näyttävät, missä se viimeksi nähtiin. Sininen nuoli näyttää meteorin näkyvän lennon.

static map
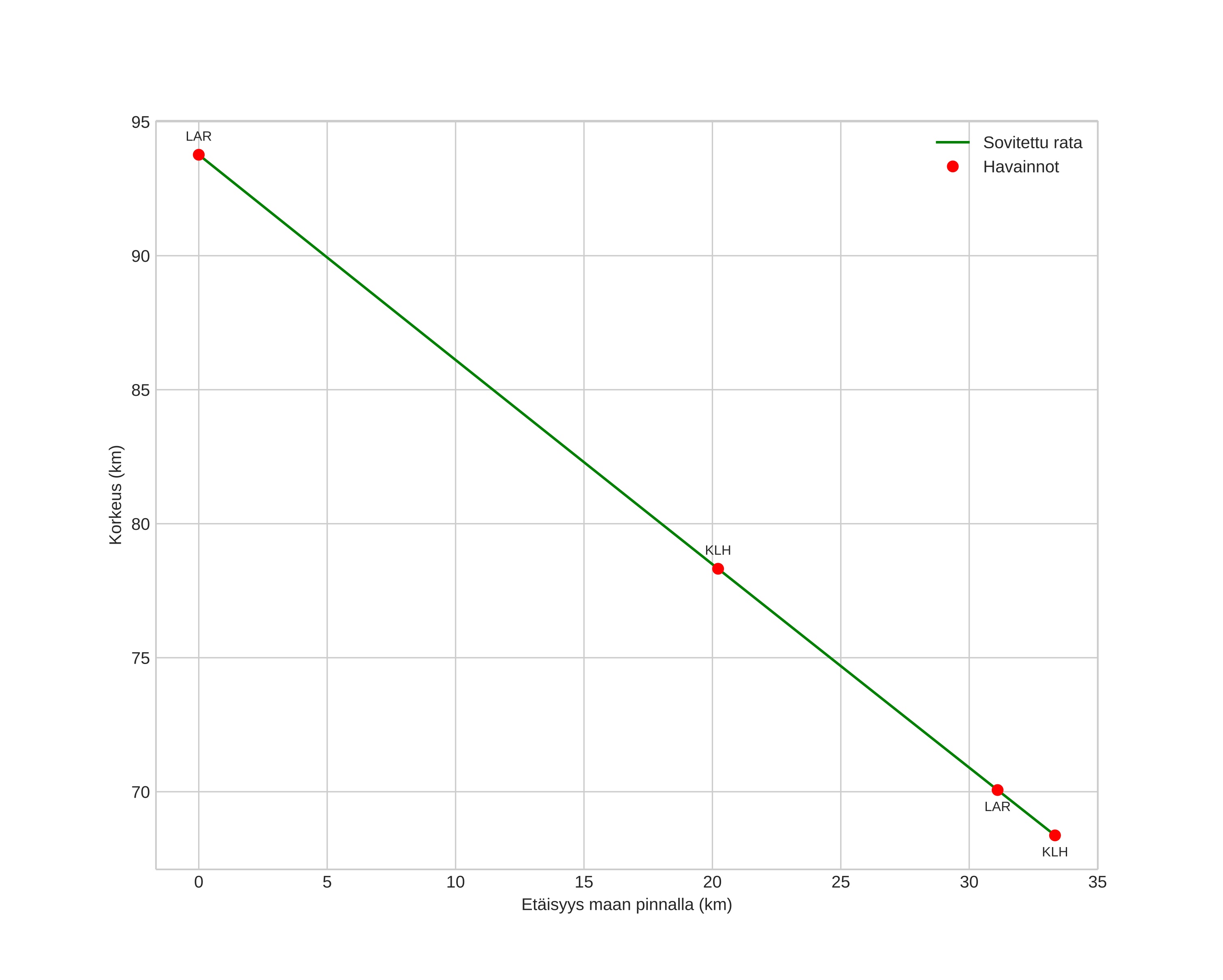
height profile
Meteorin ilmakehärata:
Alkukorkeus: 94,8 km
Loppukorkeus: 68,4 km
Alkupiste: 58,776N 12,594E
Loppupiste: 58,763N 11,992E
Suunta: 268,0°
Kallistuskulma: 37,2°
Tulonopeus: 40,3 km/s
Radiantin R,A,: 07:32 (113,2°)
Radiantin Dekl,: 31,4°
Meteoriparvi: Geminidit
Meteoroidin rataelementit:
Perihelietäisyys: 0,114 AU
Eksentrisyys: 0,942
Inklinaatio: 26,7°
Nousevan solmun pituus: 262,5°
Perihelin argumentti: 325,3°
Keskianomalia: 347,8°
Epookki: 2022 DEC 14 20:28:10
orbit plot

Ei-interaktiivinen kuvaaja | Interaktiivinen kuvaaja

position vs time
speed and acceleration