🇳🇴 🇬🇧 🇩🇪 🇨🇿 🇫🇮

Meteor, poloha: Olderdalen 2022-12-14 23:43:42 UTC

Soubor KML  |  InteraktivnĂ­ mapa

Mapa zobrazuje dráhy meteoru. Světlejší čáry ukazují směry od pozorovacích stanic při objevení se meteoru a tmavší čáry, kde byl naposledy viděn. Modrá šipka značí viditelnou dráhu meteoru.

static map
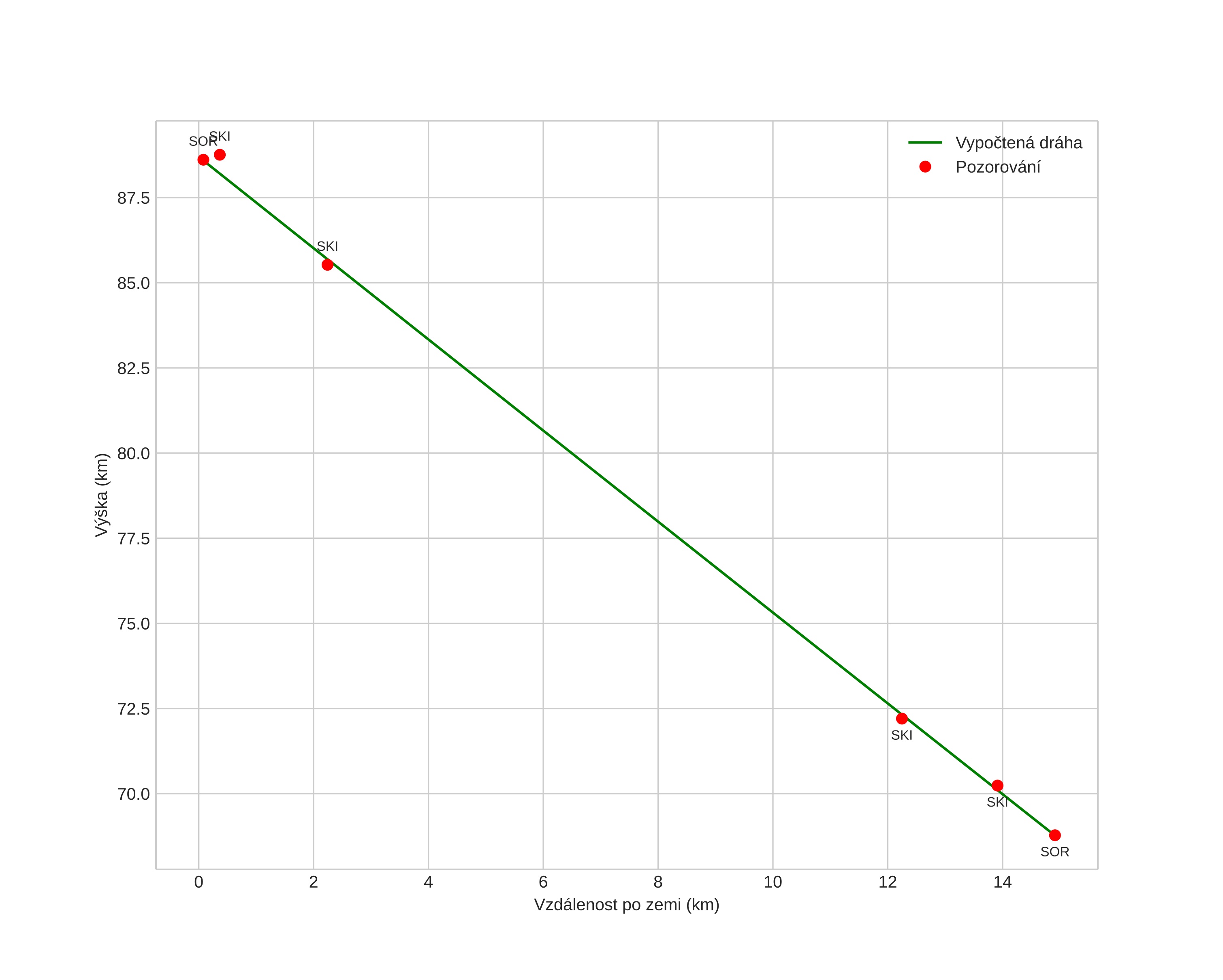
height profile
Atmosférická dráha meteoru:
Počáteční výška: 89,2 km
Konečná výška: 69,0 km
Počáteční poloha: 69,091N 20,850E
Konečná poloha: 69,218N 20,718E
Směr: 339,8°
Sklon: 53,2°
VstupnĂ­ rychlost: 36,2 km/s
Rektascenze radiantu: 07:36 (114,1°)
Deklinace radiantu: 32,3°
MeteorickĂ˝ roj: Geminidy
Elementy dráhy meteoroidu:
Vzdálenost v periheliu: 0,143 AU
Excentricita: 0,895
Sklon dráhy: 23,7°
Délka vzestupného uzlu: 262,6°
Argument perihelia: 324,1°
Střední anomálie: 336,8°
Epocha: 2022 DEC 14 23:43:42
orbit plot

NeinteraktivnĂ­ graf | InteraktivnĂ­ graf

position vs time
speed and acceleration