🇳🇴 🇬🇧 🇩🇪 🇨🇿 🇫🇮

Meteor Olderdalenin yllä 2022-12-14 23:43:42 UTC

KML-tiedosto  |  Interaktiivinen kartta

Kartta näyttää meteorin suuntahavainnot. Vaaleammat viivat näyttävät suunnat havaintoasemilta meteorin ilmestyessä, ja tummemmat viivat näyttävät, missä se viimeksi nähtiin. Sininen nuoli näyttää meteorin näkyvän lennon.

static map
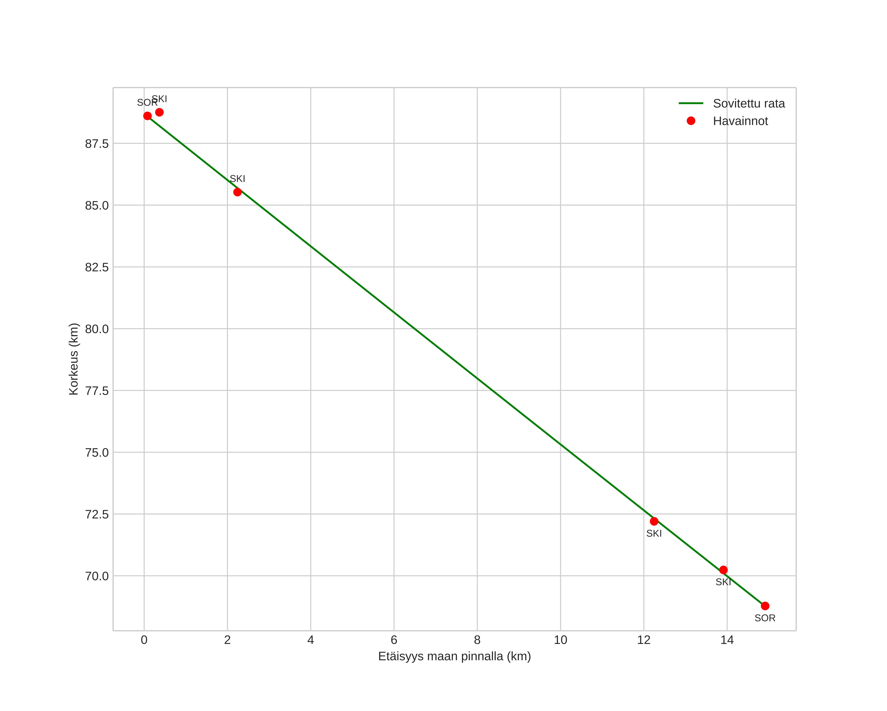
height profile
Meteorin ilmakehärata:
Alkukorkeus: 89,2 km
Loppukorkeus: 69,0 km
Alkupiste: 69,091N 20,850E
Loppupiste: 69,218N 20,718E
Suunta: 339,8°
Kallistuskulma: 53,2°
Tulonopeus: 36,2 km/s
Radiantin R,A,: 07:36 (114,1°)
Radiantin Dekl,: 32,3°
Meteoriparvi: Geminidit
Meteoroidin rataelementit:
Perihelietäisyys: 0,143 AU
Eksentrisyys: 0,895
Inklinaatio: 23,7°
Nousevan solmun pituus: 262,6°
Perihelin argumentti: 324,1°
Keskianomalia: 336,8°
Epookki: 2022 DEC 14 23:43:42
orbit plot

Ei-interaktiivinen kuvaaja | Interaktiivinen kuvaaja

position vs time
speed and acceleration