🇳🇴 🇬🇧 🇩🇪 🇨🇿 🇫🇮

Meteor, poloha: VikesĂĄ 2022-12-14 23:43:57 UTC

Soubor KML  |  InteraktivnĂ­ mapa

Mapa zobrazuje dráhy meteoru. Světlejší čáry ukazují směry od pozorovacích stanic při objevení se meteoru a tmavší čáry, kde byl naposledy viděn. Modrá šipka značí viditelnou dráhu meteoru.

static map
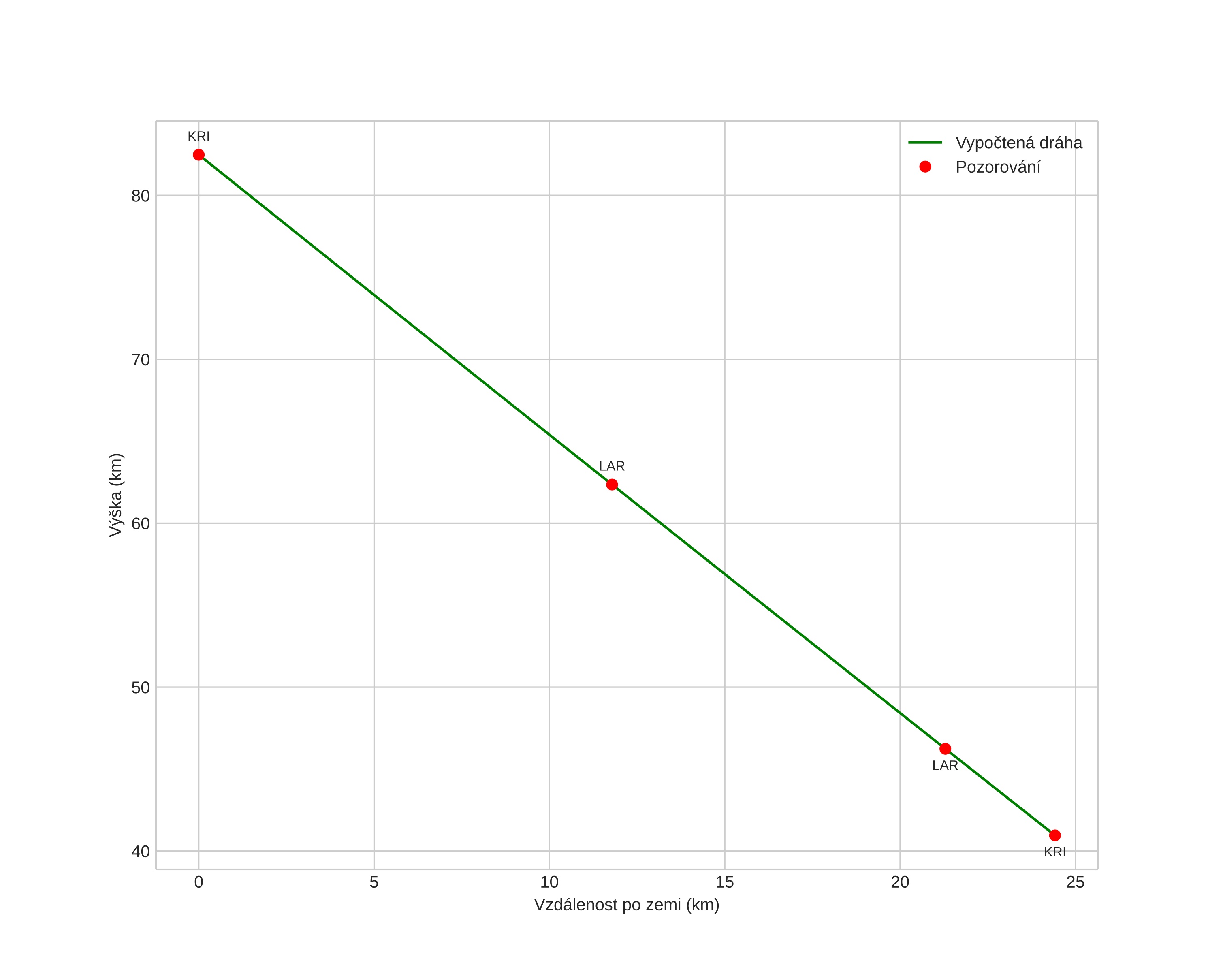
height profile
Atmosférická dráha meteoru:
Počáteční výška: 82,0 km
Konečná výška: 41,4 km
Počáteční poloha: 58,605N 6,655E
Konečná poloha: 58,761N 6,315E
Směr: 311,6°
Sklon: 57,1°
VstupnĂ­ rychlost: 35,6 km/s
Rektascenze radiantu: 07:37 (114,4°)
Deklinace radiantu: 31,2°
MeteorickĂ˝ roj: Geminidy
Elementy dráhy meteoroidu:
Vzdálenost v periheliu: 0,139 AU
Excentricita: 0,890
Sklon dráhy: 21,1°
Délka vzestupného uzlu: 262,6°
Argument perihelia: 325,3°
Střední anomálie: 334,1°
Epocha: 2022 DEC 14 23:43:57
orbit plot

NeinteraktivnĂ­ graf | InteraktivnĂ­ graf

position vs time
speed and acceleration