🇳🇴 🇬🇧 🇩🇪 🇨🇿 🇫🇮

Meteor Vikesåin yllä 2022-12-14 23:43:57 UTC

KML-tiedosto  |  Interaktiivinen kartta

Kartta näyttää meteorin suuntahavainnot. Vaaleammat viivat näyttävät suunnat havaintoasemilta meteorin ilmestyessä, ja tummemmat viivat näyttävät, missä se viimeksi nähtiin. Sininen nuoli näyttää meteorin näkyvän lennon.

static map
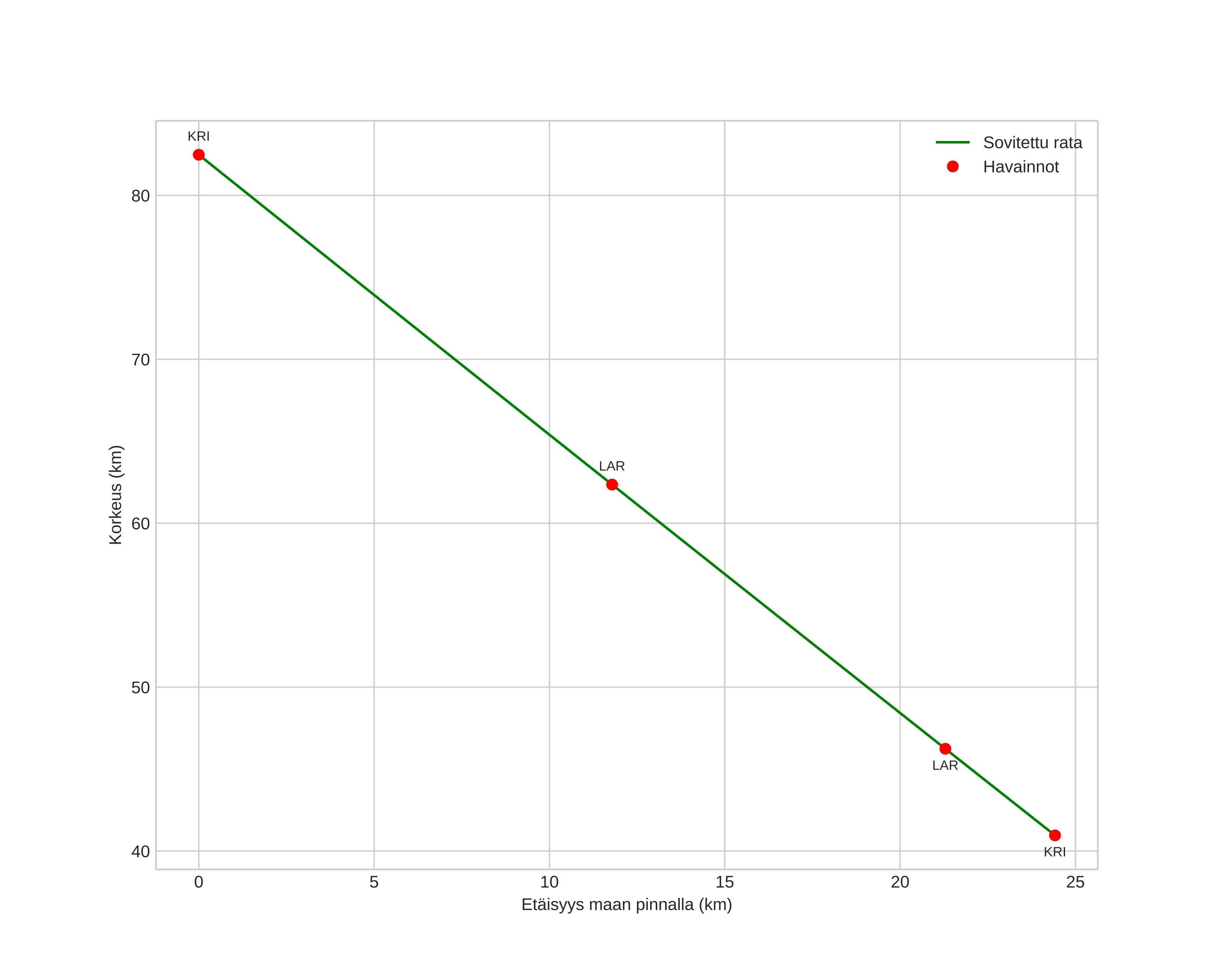
height profile
Meteorin ilmakehärata:
Alkukorkeus: 82,0 km
Loppukorkeus: 41,4 km
Alkupiste: 58,605N 6,655E
Loppupiste: 58,761N 6,315E
Suunta: 311,6°
Kallistuskulma: 57,1°
Tulonopeus: 35,6 km/s
Radiantin R,A,: 07:37 (114,4°)
Radiantin Dekl,: 31,2°
Meteoriparvi: Geminidit
Meteoroidin rataelementit:
Perihelietäisyys: 0,139 AU
Eksentrisyys: 0,890
Inklinaatio: 21,1°
Nousevan solmun pituus: 262,6°
Perihelin argumentti: 325,3°
Keskianomalia: 334,1°
Epookki: 2022 DEC 14 23:43:57
orbit plot

Ei-interaktiivinen kuvaaja | Interaktiivinen kuvaaja

position vs time
speed and acceleration