🇳🇴 🇬🇧 🇩🇪 🇨🇿 🇫🇮

Meteor, poloha: Hirtshals 2022-12-15 00:17:57 UTC

Soubor KML  |  InteraktivnĂ­ mapa

Mapa zobrazuje dráhy meteoru. Světlejší čáry ukazují směry od pozorovacích stanic při objevení se meteoru a tmavší čáry, kde byl naposledy viděn. Modrá šipka značí viditelnou dráhu meteoru.

static map
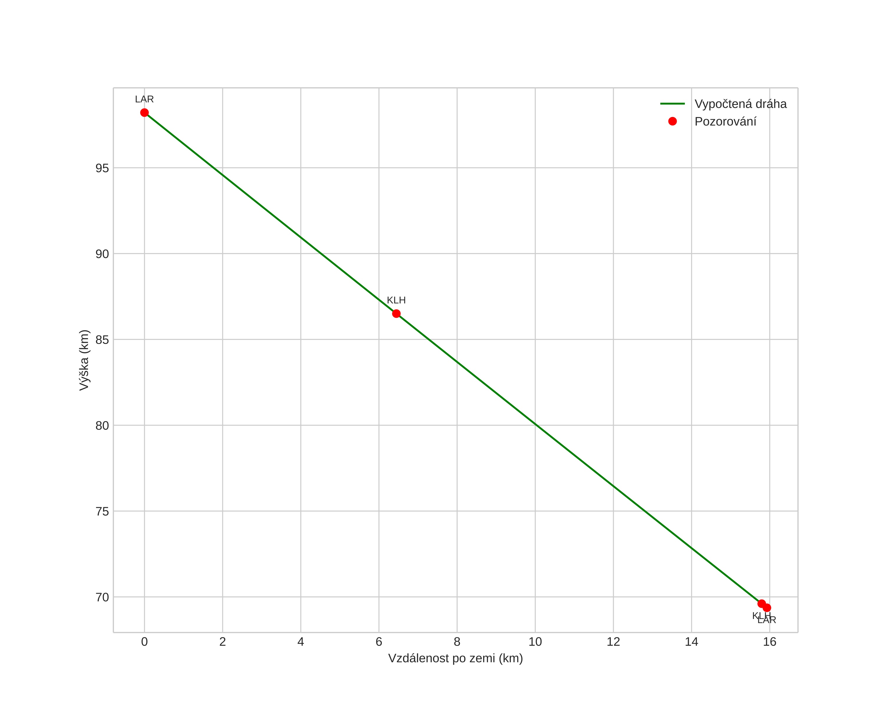
height profile
Atmosférická dráha meteoru:
Počáteční výška: 98,1 km
Konečná výška: 69,5 km
Počáteční poloha: 58,037N 9,960E
Konečná poloha: 58,156N 9,829E
Směr: 329,7°
Sklon: 61,8°
VstupnĂ­ rychlost: 37,8 km/s
Rektascenze radiantu: 07:35 (113,8°)
Deklinace radiantu: 31,5°
MeteorickĂ˝ roj: Geminidy
Elementy dráhy meteoroidu:
Vzdálenost v periheliu: 0,128 AU
Excentricita: 0,916
Sklon dráhy: 23,9°
Délka vzestupného uzlu: 262,7°
Argument perihelia: 324,9°
Střední anomálie: 341,4°
Epocha: 2022 DEC 15 00:17:57
orbit plot

NeinteraktivnĂ­ graf | InteraktivnĂ­ graf

position vs time
speed and acceleration