🇳🇴 🇬🇧 🇩🇪 🇨🇿 🇫🇮

Meteor Hirtshalsin yllä 2022-12-15 00:17:57 UTC

KML-tiedosto  |  Interaktiivinen kartta

Kartta näyttää meteorin suuntahavainnot. Vaaleammat viivat näyttävät suunnat havaintoasemilta meteorin ilmestyessä, ja tummemmat viivat näyttävät, missä se viimeksi nähtiin. Sininen nuoli näyttää meteorin näkyvän lennon.

static map
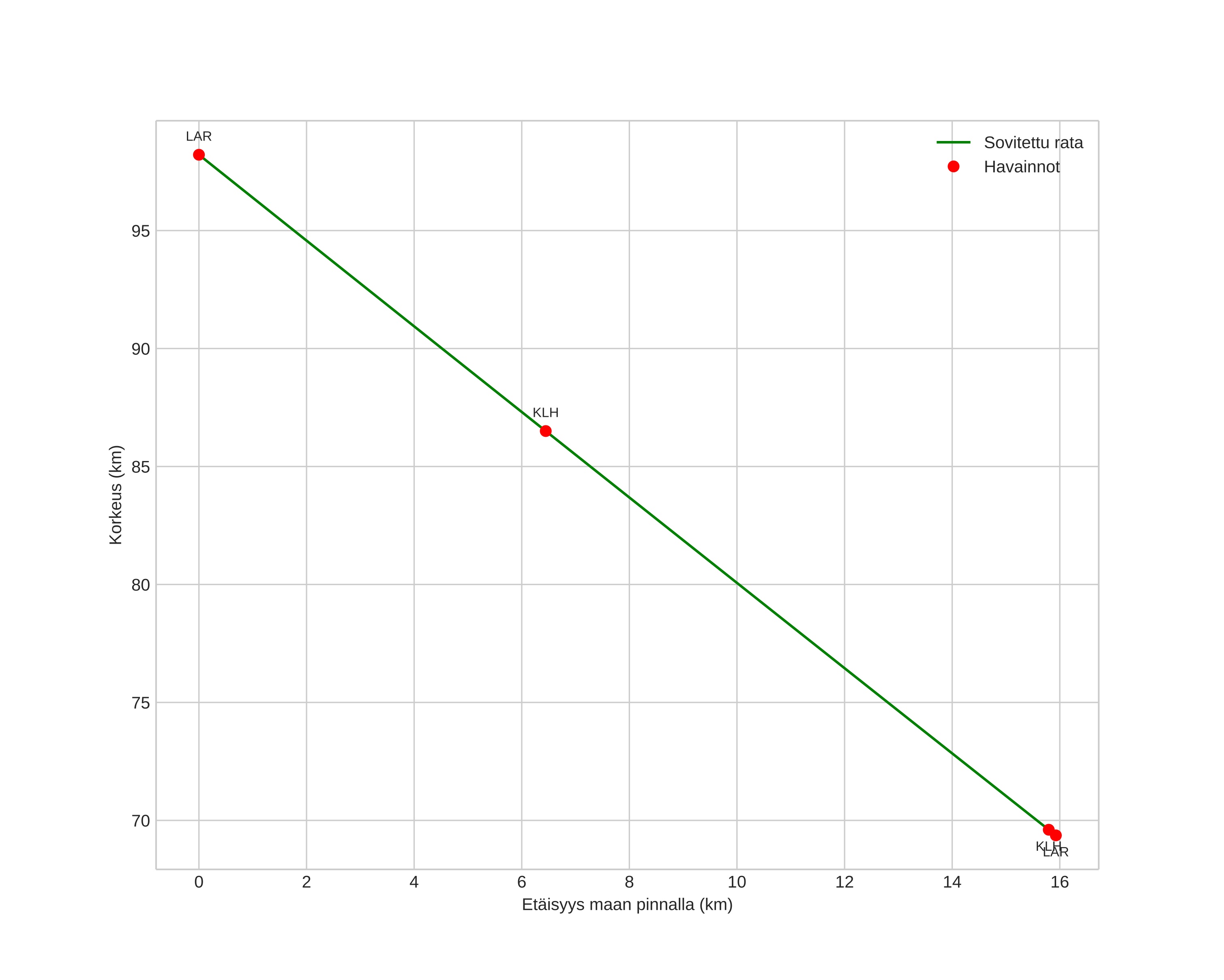
height profile
Meteorin ilmakehärata:
Alkukorkeus: 98,1 km
Loppukorkeus: 69,5 km
Alkupiste: 58,037N 9,960E
Loppupiste: 58,156N 9,829E
Suunta: 329,7°
Kallistuskulma: 61,8°
Tulonopeus: 37,8 km/s
Radiantin R,A,: 07:35 (113,8°)
Radiantin Dekl,: 31,5°
Meteoriparvi: Geminidit
Meteoroidin rataelementit:
Perihelietäisyys: 0,128 AU
Eksentrisyys: 0,916
Inklinaatio: 23,9°
Nousevan solmun pituus: 262,7°
Perihelin argumentti: 324,9°
Keskianomalia: 341,4°
Epookki: 2022 DEC 15 00:17:57
orbit plot

Ei-interaktiivinen kuvaaja | Interaktiivinen kuvaaja

position vs time
speed and acceleration