🇳🇴 🇬🇧 🇩🇪 🇨🇿 🇫🇮

Meteor, poloha: Hals 2022-12-15 01:20:50 UTC

Soubor KML

Mapa zobrazuje dráhy meteoru. Světlejší čáry ukazují směry od pozorovacích stanic při objevení se meteoru a tmavší čáry, kde byl naposledy viděn. Modrá šipka značí viditelnou dráhu meteoru.

static map
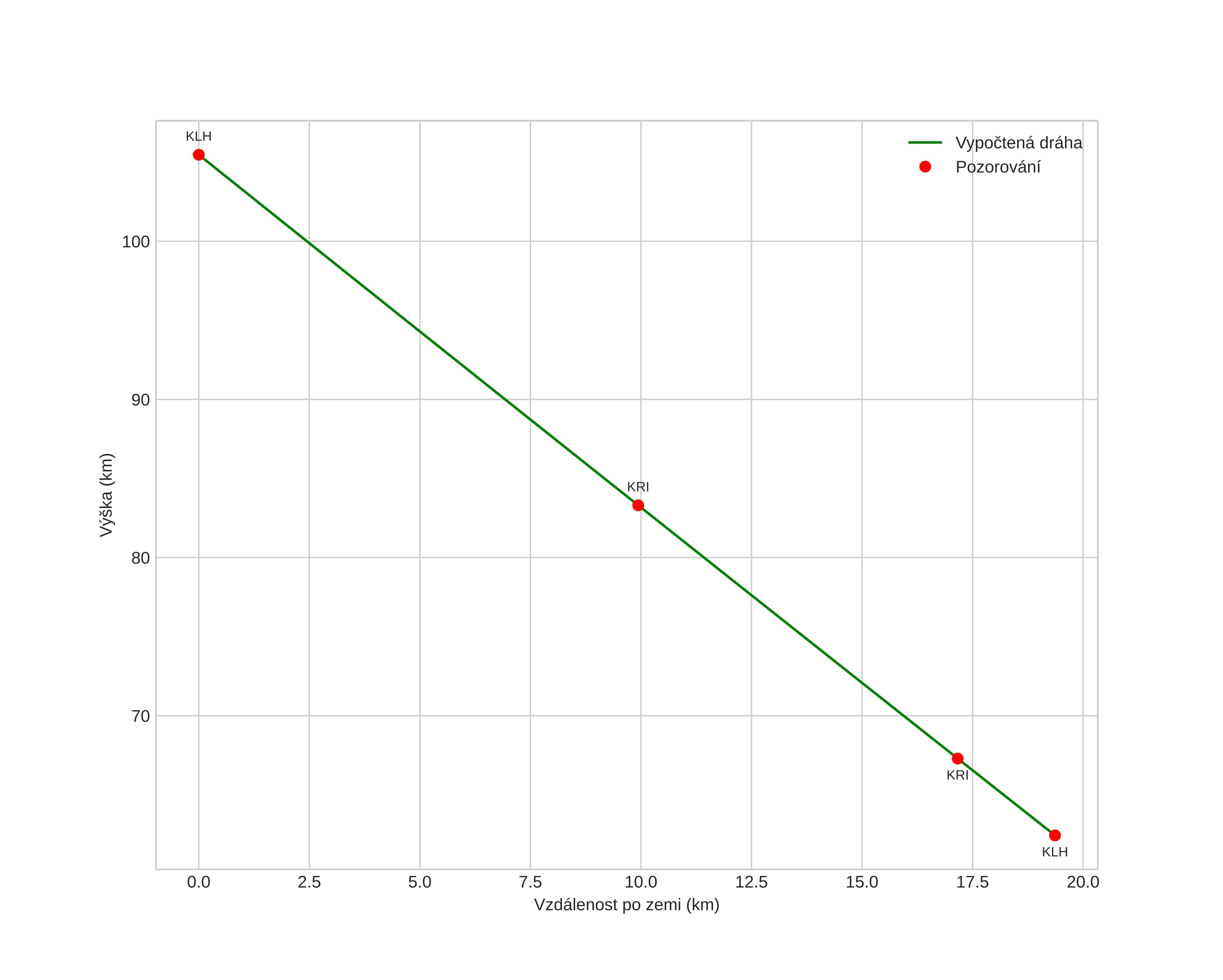
height profile
Atmosférická dráha meteoru:
Počáteční výška: 105,5 km
Konečná výška: 62,4 km
Počáteční poloha: 56,757N 10,418E
Konečná poloha: 56,931N 10,397E
Směr: 356,1°
Sklon: 65,8°
Vstupní rychlost: 35,5 km/s
Rektascenze radiantu: 07:41 (115,3°)
Deklinace radiantu: 31,9°
Meteorický roj: Geminidy
Elementy dráhy meteoroidu:
Vzdálenost v periheliu: 0,138 AU
Excentricita: 0,890
Sklon dráhy: 23,1°
Délka vzestupného uzlu: 262,7°
Argument perihelia: 325,8°
Střední anomálie: 333,3°
Epocha: 2022 DEC 15 01:20:50
orbit plot

Neinteraktivní graf

position vs time
speed and acceleration