🇳🇴 🇬🇧 🇩🇪 🇨🇿 🇫🇮

Meteor Halsin yllä 2022-12-15 01:20:50 UTC

KML-tiedosto  |  Interaktiivinen kartta

Kartta näyttää meteorin suuntahavainnot. Vaaleammat viivat näyttävät suunnat havaintoasemilta meteorin ilmestyessä, ja tummemmat viivat näyttävät, missä se viimeksi nähtiin. Sininen nuoli näyttää meteorin näkyvän lennon.

static map
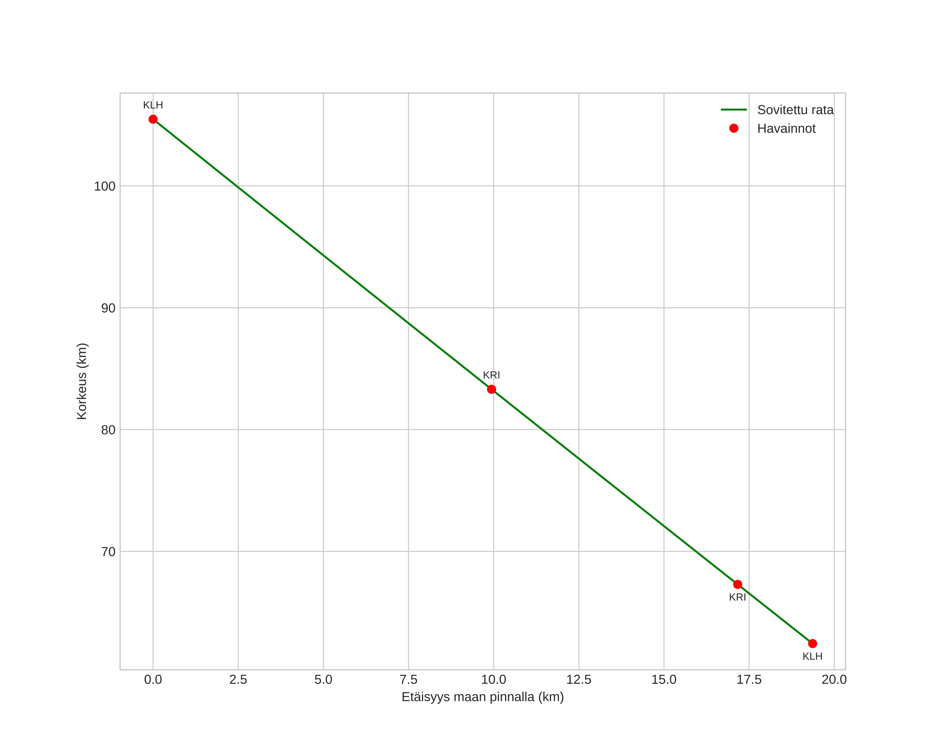
height profile
Meteorin ilmakehärata:
Alkukorkeus: 105,5 km
Loppukorkeus: 62,4 km
Alkupiste: 56,757N 10,418E
Loppupiste: 56,931N 10,397E
Suunta: 356,1°
Kallistuskulma: 65,8°
Tulonopeus: 35,5 km/s
Radiantin R,A,: 07:41 (115,3°)
Radiantin Dekl,: 31,9°
Meteoriparvi: Geminidit
Meteoroidin rataelementit:
Perihelietäisyys: 0,138 AU
Eksentrisyys: 0,890
Inklinaatio: 23,1°
Nousevan solmun pituus: 262,7°
Perihelin argumentti: 325,8°
Keskianomalia: 333,3°
Epookki: 2022 DEC 15 01:20:50
orbit plot

Ei-interaktiivinen kuvaaja | Interaktiivinen kuvaaja

position vs time
speed and acceleration