🇳🇴 🇬🇧 🇩🇪 🇨🇿 🇫🇮

Meteor, poloha: Sjuntorp 2022-12-15 03:38:07 UTC

Soubor KML  |  InteraktivnĂ­ mapa

Mapa zobrazuje dráhy meteoru. Světlejší čáry ukazují směry od pozorovacích stanic při objevení se meteoru a tmavší čáry, kde byl naposledy viděn. Modrá šipka značí viditelnou dráhu meteoru.

static map
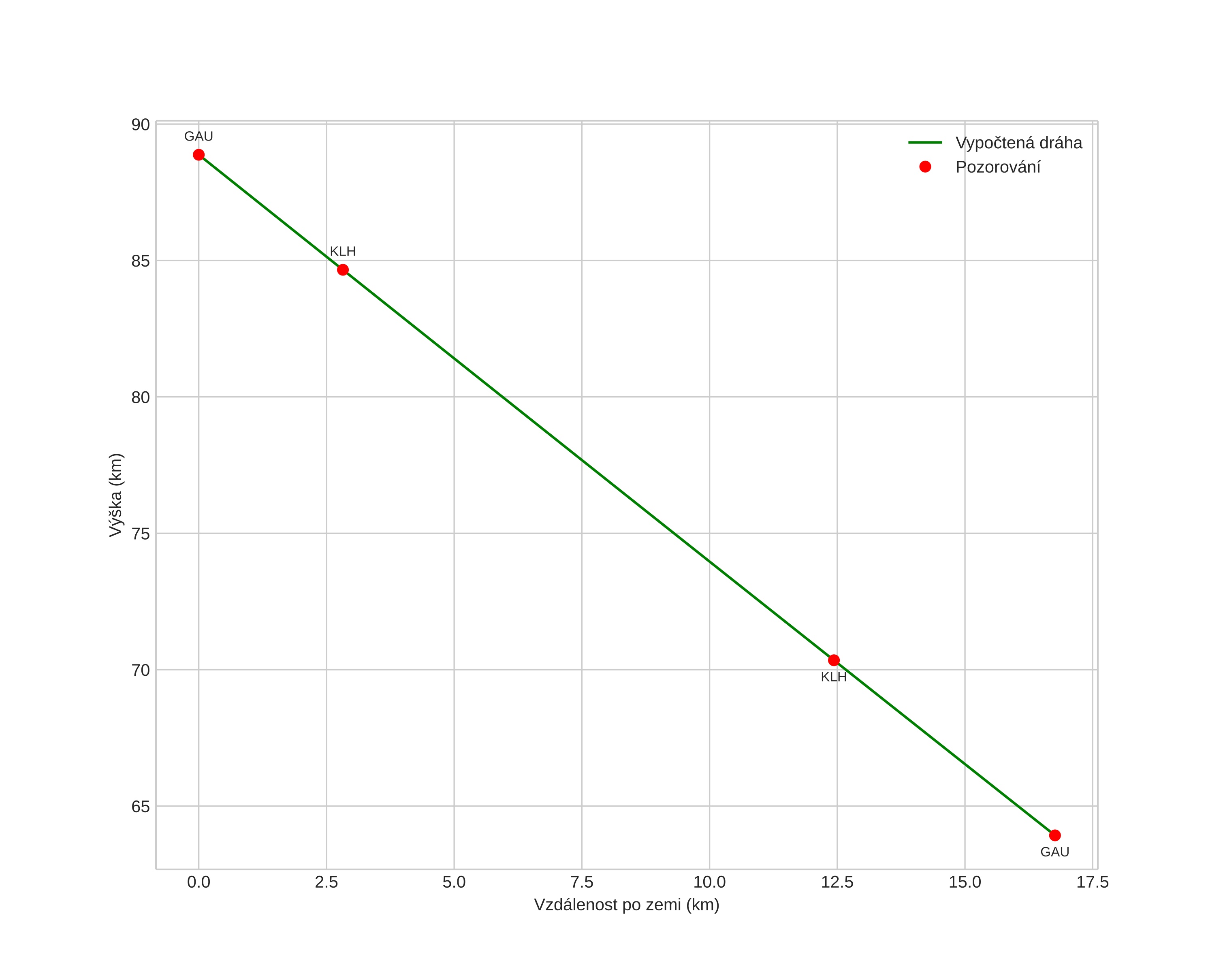
height profile
Atmosférická dráha meteoru:
Počáteční výška: 89,3 km
Konečná výška: 64,0 km
Počáteční poloha: 58,224N 11,911E
Konečná poloha: 58,306N 12,157E
Směr: 57,7°
Sklon: 56,1°
VstupnĂ­ rychlost: 37,4 km/s
Rektascenze radiantu: 07:38 (114,6°)
Deklinace radiantu: 32,4°
MeteorickĂ˝ roj: Geminidy
Elementy dráhy meteoroidu:
Vzdálenost v periheliu: 0,131 AU
Excentricita: 0,911
Sklon dráhy: 26,1°
Délka vzestupného uzlu: 262,8°
Argument perihelia: 324,8°
Střední anomálie: 340,2°
Epocha: 2022 DEC 15 03:38:07
orbit plot

NeinteraktivnĂ­ graf | InteraktivnĂ­ graf

position vs time
speed and acceleration