🇳🇴 🇬🇧 🇩🇪 🇨🇿 🇫🇮

Meteor Sjuntorpin yllä 2022-12-15 03:38:07 UTC

KML-tiedosto  |  Interaktiivinen kartta

Kartta näyttää meteorin suuntahavainnot. Vaaleammat viivat näyttävät suunnat havaintoasemilta meteorin ilmestyessä, ja tummemmat viivat näyttävät, missä se viimeksi nähtiin. Sininen nuoli näyttää meteorin näkyvän lennon.

static map
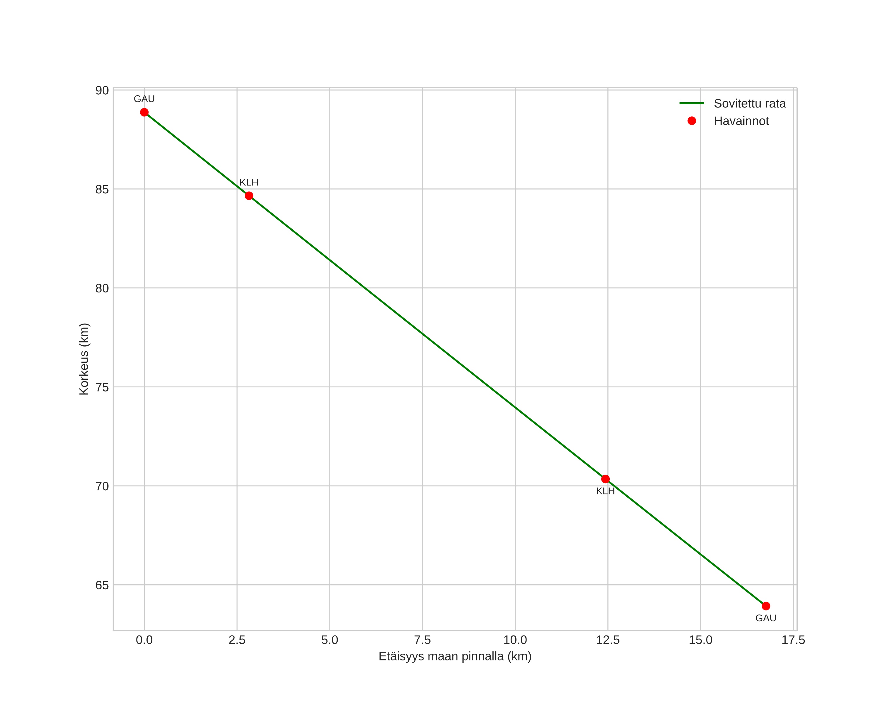
height profile
Meteorin ilmakehärata:
Alkukorkeus: 89,3 km
Loppukorkeus: 64,0 km
Alkupiste: 58,224N 11,911E
Loppupiste: 58,306N 12,157E
Suunta: 57,7°
Kallistuskulma: 56,1°
Tulonopeus: 37,4 km/s
Radiantin R,A,: 07:38 (114,6°)
Radiantin Dekl,: 32,4°
Meteoriparvi: Geminidit
Meteoroidin rataelementit:
Perihelietäisyys: 0,131 AU
Eksentrisyys: 0,911
Inklinaatio: 26,1°
Nousevan solmun pituus: 262,8°
Perihelin argumentti: 324,8°
Keskianomalia: 340,2°
Epookki: 2022 DEC 15 03:38:07
orbit plot

Ei-interaktiivinen kuvaaja | Interaktiivinen kuvaaja

position vs time
speed and acceleration