🇳🇴 🇬🇧 🇩🇪 🇨🇿 🇫🇮

Meteor, poloha: Langesund 2022-12-15 04:36:49 UTC

Soubor KML  |  InteraktivnĂ­ mapa

Mapa zobrazuje dráhy meteoru. Světlejší čáry ukazují směry od pozorovacích stanic při objevení se meteoru a tmavší čáry, kde byl naposledy viděn. Modrá šipka značí viditelnou dráhu meteoru.

static map
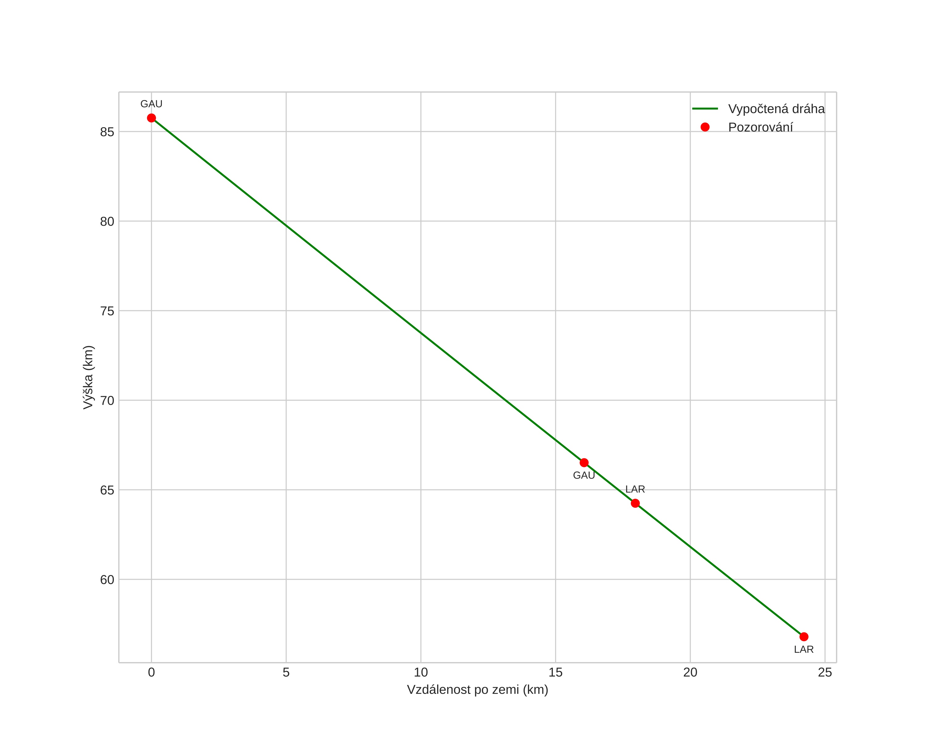
height profile
Atmosférická dráha meteoru:
Počáteční výška: 82,1 km
Konečná výška: 44,1 km
Počáteční poloha: 58,766N 9,213E
Konečná poloha: 58,847N 9,759E
Směr: 73,8°
Sklon: 49,3°
VstupnĂ­ rychlost: 35,0 km/s
Rektascenze radiantu: 07:28 (112,0°)
Deklinace radiantu: 32,6°
MeteorickĂ˝ roj: Geminidy
Elementy dráhy meteoroidu:
Vzdálenost v periheliu: 0,169 AU
Excentricita: 0,880
Sklon dráhy: 20,9°
Délka vzestupného uzlu: 262,8°
Argument perihelia: 320,3°
Střední anomálie: 337,3°
Epocha: 2022 DEC 15 04:36:49
orbit plot

NeinteraktivnĂ­ graf | InteraktivnĂ­ graf

position vs time
speed and acceleration