🇳🇴 🇬🇧 🇩🇪 🇨🇿 🇫🇮

Meteor Langesundin yllä 2022-12-15 04:36:49 UTC

KML-tiedosto  |  Interaktiivinen kartta

Kartta näyttää meteorin suuntahavainnot. Vaaleammat viivat näyttävät suunnat havaintoasemilta meteorin ilmestyessä, ja tummemmat viivat näyttävät, missä se viimeksi nähtiin. Sininen nuoli näyttää meteorin näkyvän lennon.

static map
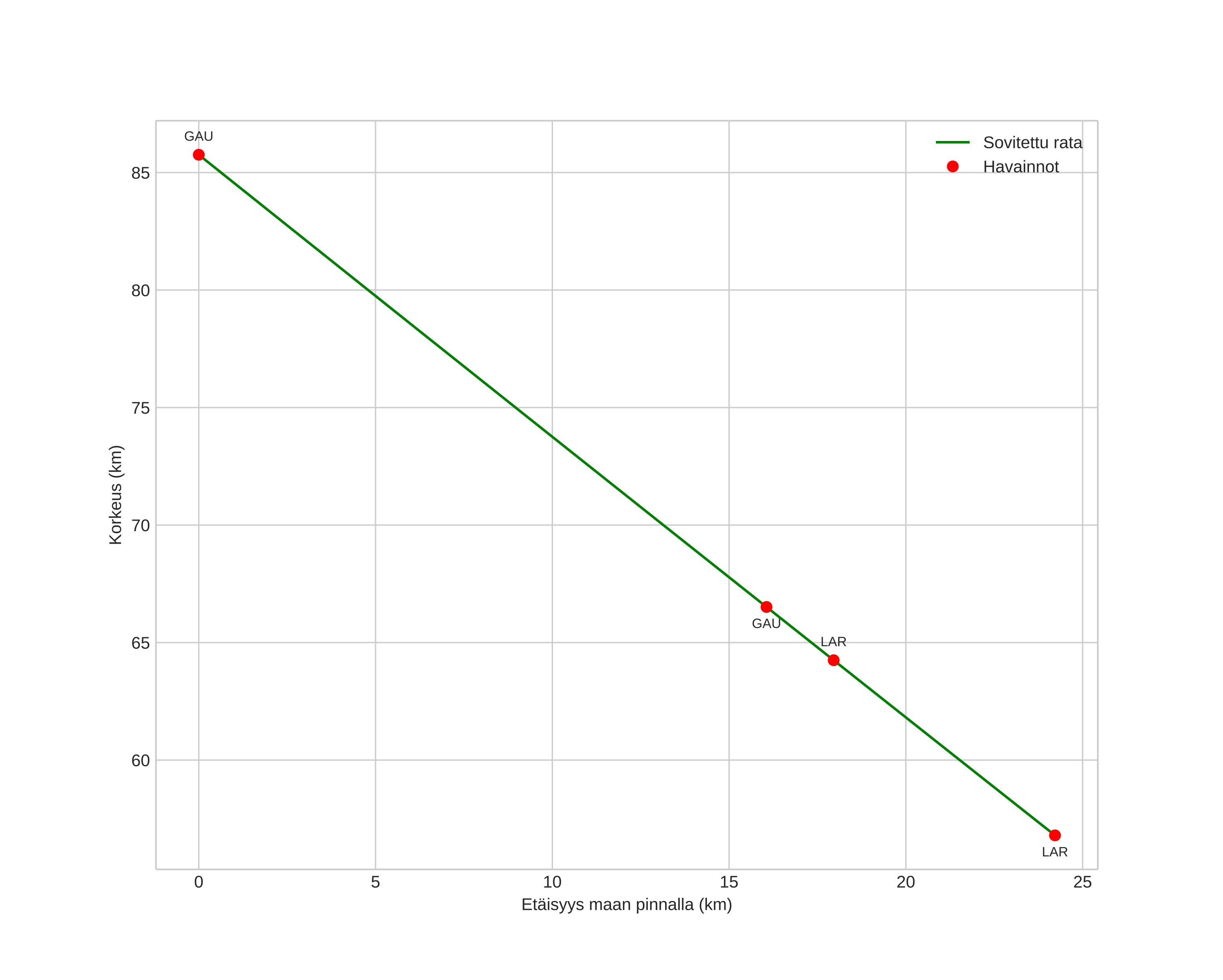
height profile
Meteorin ilmakehärata:
Alkukorkeus: 82,1 km
Loppukorkeus: 44,1 km
Alkupiste: 58,766N 9,213E
Loppupiste: 58,847N 9,759E
Suunta: 73,8°
Kallistuskulma: 49,3°
Tulonopeus: 35,0 km/s
Radiantin R,A,: 07:28 (112,0°)
Radiantin Dekl,: 32,6°
Meteoriparvi: Geminidit
Meteoroidin rataelementit:
Perihelietäisyys: 0,169 AU
Eksentrisyys: 0,880
Inklinaatio: 20,9°
Nousevan solmun pituus: 262,8°
Perihelin argumentti: 320,3°
Keskianomalia: 337,3°
Epookki: 2022 DEC 15 04:36:49
orbit plot

Ei-interaktiivinen kuvaaja | Interaktiivinen kuvaaja

position vs time
speed and acceleration