🇳🇴 🇬🇧 🇩🇪 🇨🇿 🇫🇮

Meteor, poloha: Burfjord 2022-12-19 22:24:23 UTC

Soubor KML  |  InteraktivnĂ­ mapa

Mapa zobrazuje dráhy meteoru. Světlejší čáry ukazují směry od pozorovacích stanic při objevení se meteoru a tmavší čáry, kde byl naposledy viděn. Modrá šipka značí viditelnou dráhu meteoru.

static map
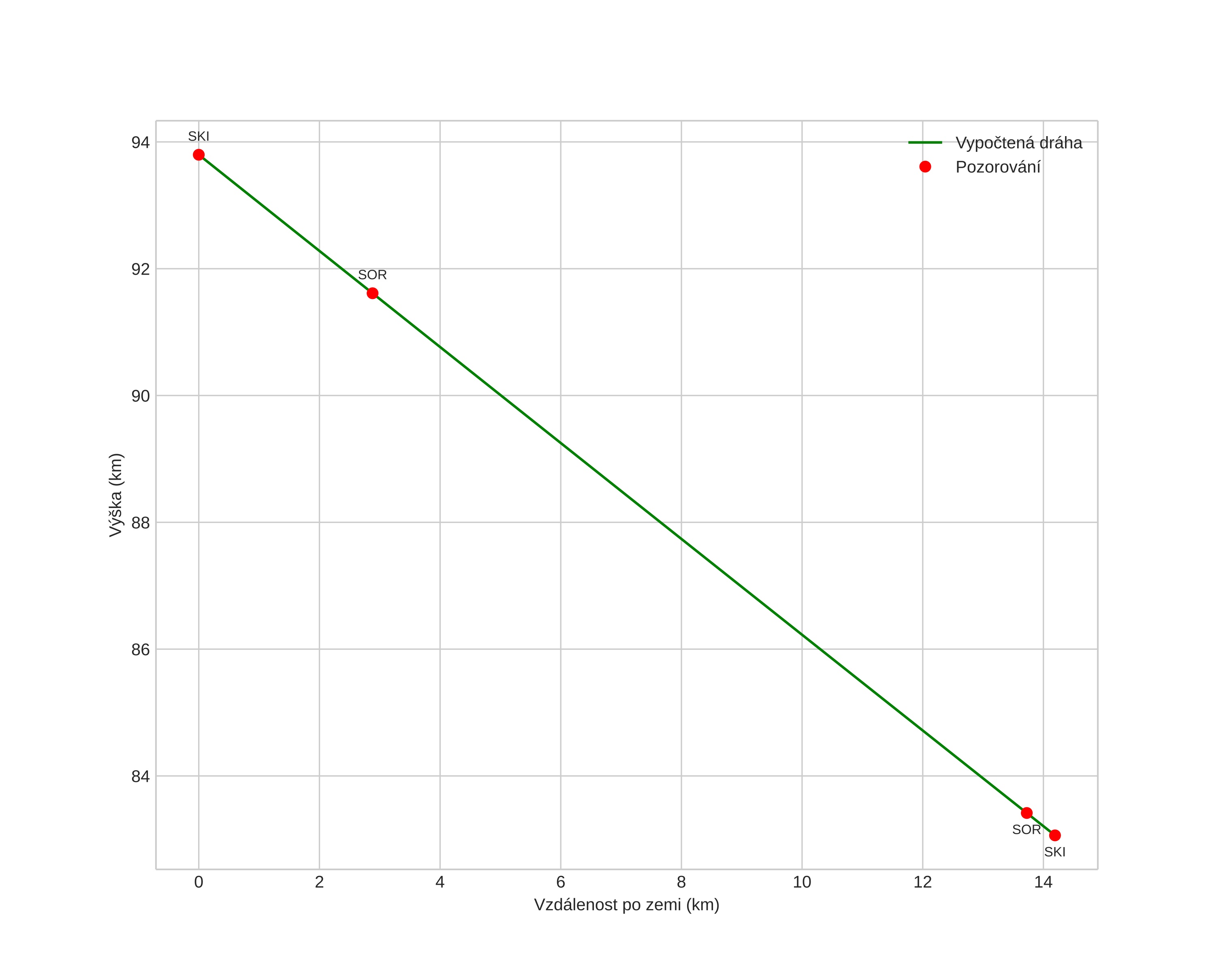
height profile
Atmosférická dráha meteoru:
Počáteční výška: 93,8 km
Konečná výška: 83,1 km
Počáteční poloha: 69,053N 21,601E
Konečná poloha: 68,941N 21,774E
Směr: 150,8°
Sklon: 37,0°
VstupnĂ­ rychlost: 19,7 km/s
Rektascenze radiantu: 20:24 (306,0°)
Deklinace radiantu: 48,7°
MeteorickĂ˝ roj: sporadickĂ˝
Elementy dráhy meteoroidu:
Vzdálenost v periheliu: 0,978 AU
Excentricita: 0,750
Sklon dráhy: 21,9°
Délka vzestupného uzlu: 267,7°
Argument perihelia: 170,8°
Střední anomálie: 0,9°
Epocha: 2022 DEC 19 22:24:23
orbit plot

NeinteraktivnĂ­ graf | InteraktivnĂ­ graf

position vs time
speed and acceleration