🇳🇴 🇬🇧 🇩🇪 🇨🇿 🇫🇮

Meteor Burfjordin yllä 2022-12-19 22:24:23 UTC

KML-tiedosto  |  Interaktiivinen kartta

Kartta näyttää meteorin suuntahavainnot. Vaaleammat viivat näyttävät suunnat havaintoasemilta meteorin ilmestyessä, ja tummemmat viivat näyttävät, missä se viimeksi nähtiin. Sininen nuoli näyttää meteorin näkyvän lennon.

static map
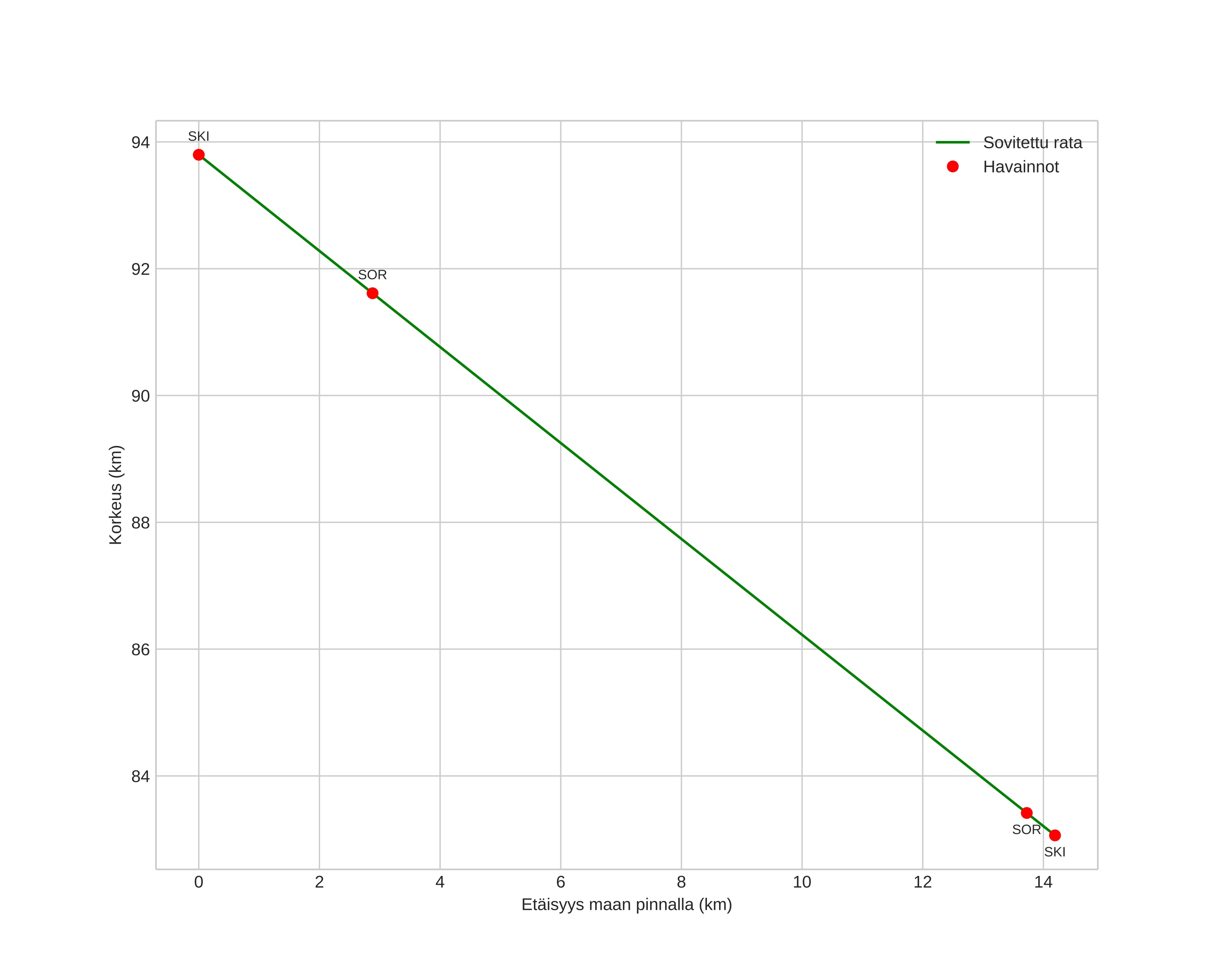
height profile
Meteorin ilmakehärata:
Alkukorkeus: 93,8 km
Loppukorkeus: 83,1 km
Alkupiste: 69,053N 21,601E
Loppupiste: 68,941N 21,774E
Suunta: 150,8°
Kallistuskulma: 37,0°
Tulonopeus: 19,7 km/s
Radiantin R,A,: 20:24 (306,0°)
Radiantin Dekl,: 48,7°
Meteoriparvi: Sporadinen
Meteoroidin rataelementit:
Perihelietäisyys: 0,978 AU
Eksentrisyys: 0,750
Inklinaatio: 21,9°
Nousevan solmun pituus: 267,7°
Perihelin argumentti: 170,8°
Keskianomalia: 0,9°
Epookki: 2022 DEC 19 22:24:23
orbit plot

Ei-interaktiivinen kuvaaja | Interaktiivinen kuvaaja

position vs time
speed and acceleration