🇳🇴 🇬🇧 🇩🇪 🇨🇿 🇫🇮

Meteor, poloha: Träslövsläge 2022-12-23 04:59:56 UTC

Soubor KML  |  InteraktivnĂ­ mapa

Mapa zobrazuje dráhy meteoru. Světlejší čáry ukazují směry od pozorovacích stanic při objevení se meteoru a tmavší čáry, kde byl naposledy viděn. Modrá šipka značí viditelnou dráhu meteoru.

static map
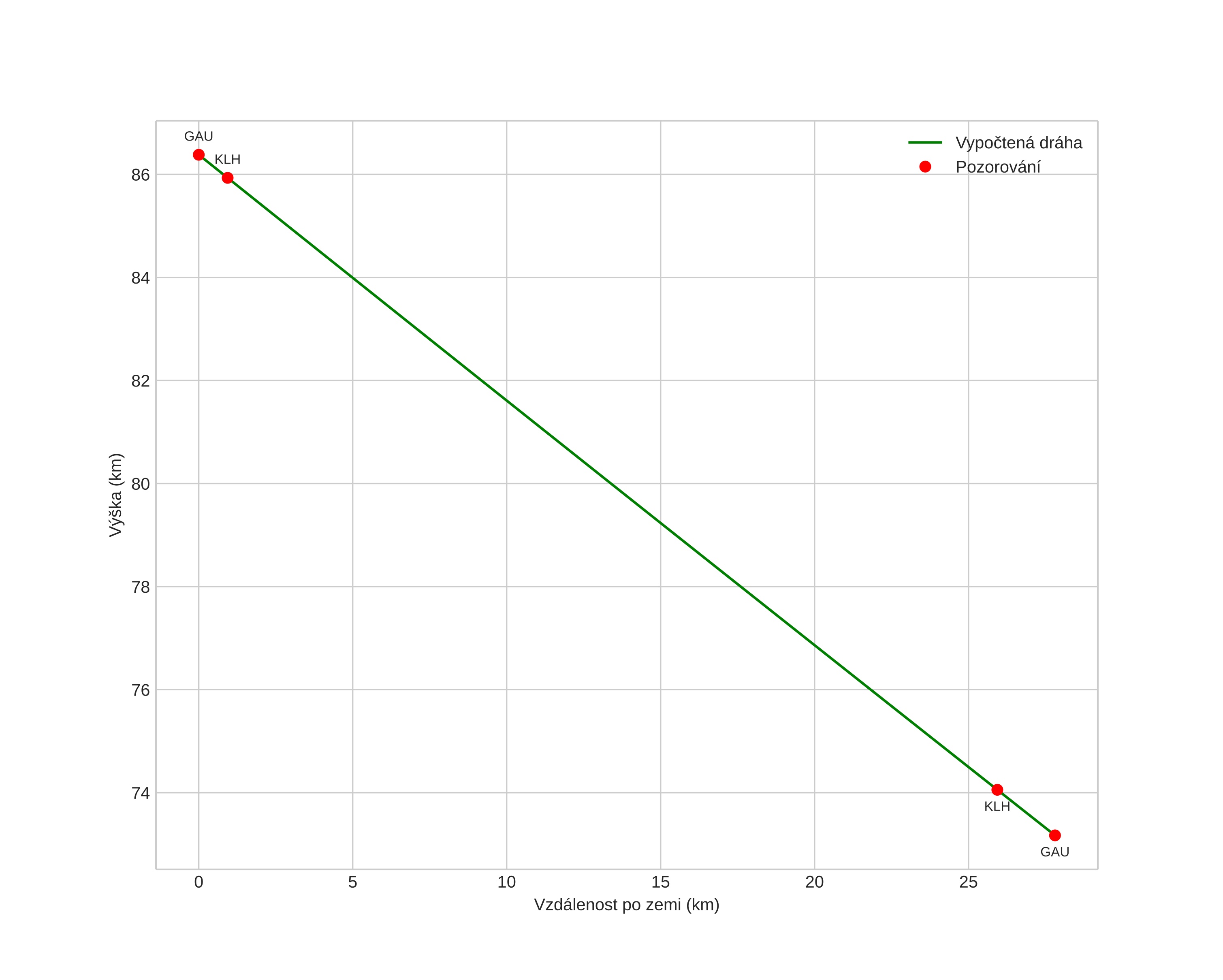
height profile
Atmosférická dráha meteoru:
Počáteční výška: 86,4 km
Konečná výška: 73,3 km
Počáteční poloha: 57,133N 11,918E
Konečná poloha: 57,016N 12,320E
Směr: 118,1°
Sklon: 25,4°
VstupnĂ­ rychlost: 20,8 km/s
Rektascenze radiantu: 05:01 (75,4°)
Deklinace radiantu: 31,0°
MeteorickĂ˝ roj: sporadickĂ˝
Elementy dráhy meteoroidu:
Vzdálenost v periheliu: 0,749 AU
Excentricita: 0,736
Sklon dráhy: 4,2°
Délka vzestupného uzlu: 271,0°
Argument perihelia: 244,0°
Střední anomálie: 352,0°
Epocha: 2022 DEC 23 04:59:56
orbit plot

NeinteraktivnĂ­ graf | InteraktivnĂ­ graf

position vs time
speed and acceleration