🇳🇴 🇬🇧 🇩🇪 🇨🇿 🇫🇮

Meteor, poloha: Ørum 2022-12-23 22:01:01 UTC

Soubor KML  |  Interaktivní mapa

Mapa zobrazuje dráhy meteoru. Světlejší čáry ukazují směry od pozorovacích stanic při objevení se meteoru a tmavší čáry, kde byl naposledy viděn. Modrá šipka značí viditelnou dráhu meteoru.

static map
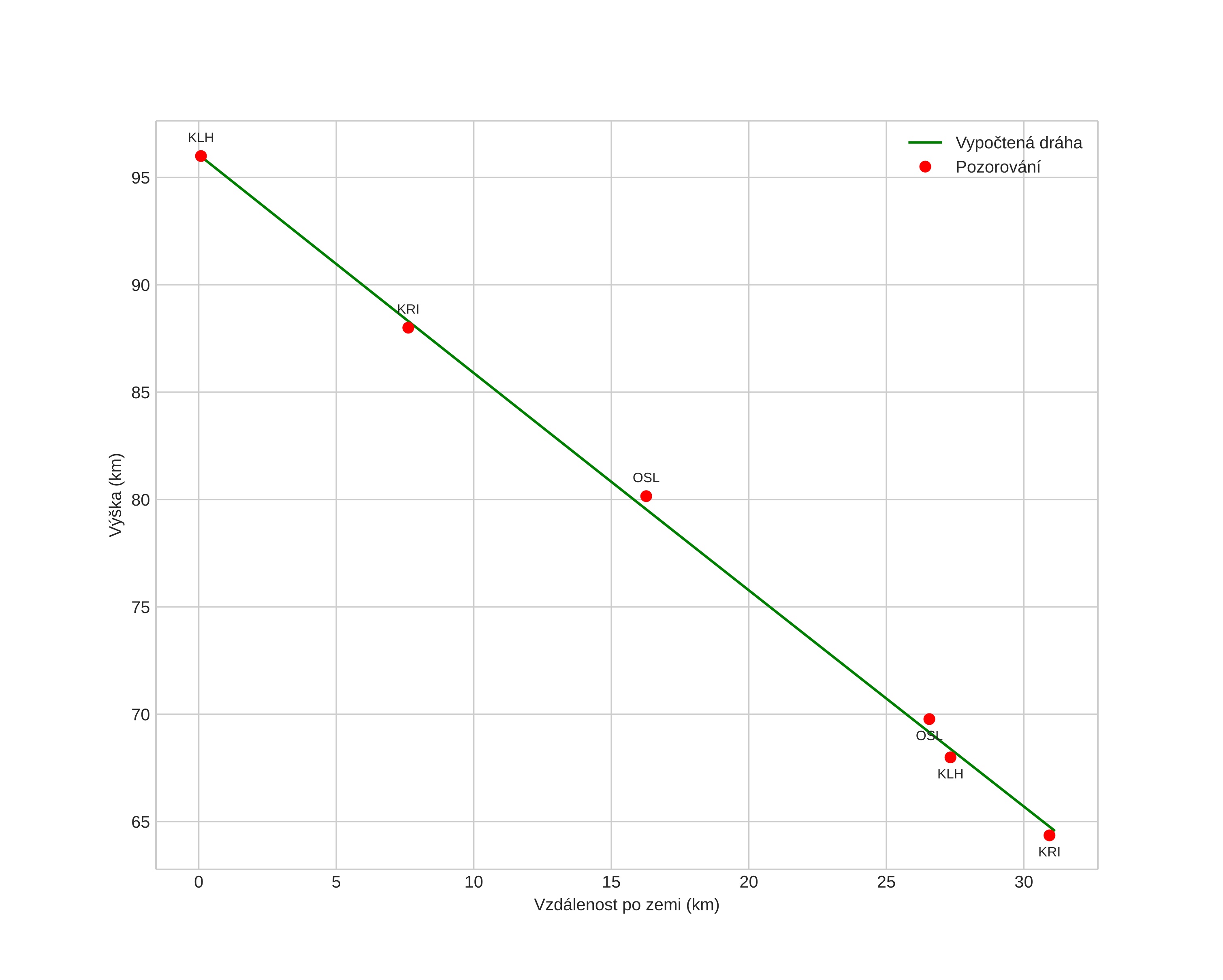
height profile
Atmosférická dráha meteoru:
Počáteční výška: 96,1 km
Konečná výška: 64,6 km
Počáteční poloha: 56,485N 10,146E
Konečná poloha: 56,573N 9,664E
Směr: 288,5°
Sklon: 45,3°
Vstupní rychlost: 40,2 km/s
Rektascenze radiantu: 08:06 (121,7°)
Deklinace radiantu: 27,4°
Meteorický roj: sporadický
Elementy dráhy meteoroidu:
Vzdálenost v periheliu: 0,113 AU
Excentricita: 0,946
Sklon dráhy: 19,2°
Délka vzestupného uzlu: 271,7°
Argument perihelia: 325,3°
Střední anomálie: 348,8°
Epocha: 2022 DEC 23 22:01:01
orbit plot

Neinteraktivní graf | Interaktivní graf

position vs time
speed and acceleration