🇳🇴 🇬🇧 🇩🇪 🇨🇿 🇫🇮

Meteor Ørumin yllä 2022-12-23 22:01:01 UTC

KML-tiedosto  |  Interaktiivinen kartta

Kartta näyttää meteorin suuntahavainnot. Vaaleammat viivat näyttävät suunnat havaintoasemilta meteorin ilmestyessä, ja tummemmat viivat näyttävät, missä se viimeksi nähtiin. Sininen nuoli näyttää meteorin näkyvän lennon.

static map
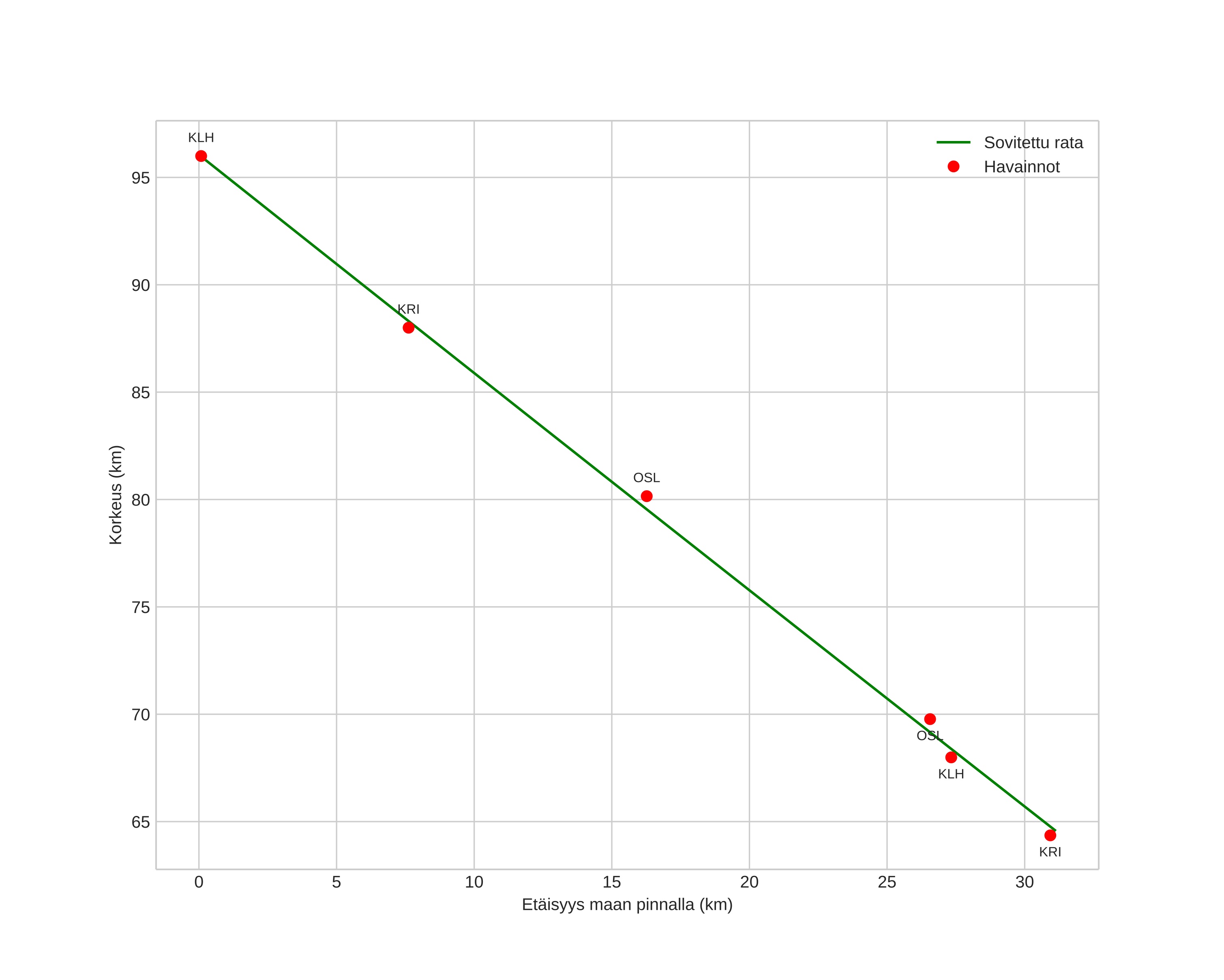
height profile
Meteorin ilmakehärata:
Alkukorkeus: 96,1 km
Loppukorkeus: 64,6 km
Alkupiste: 56,485N 10,146E
Loppupiste: 56,573N 9,664E
Suunta: 288,5°
Kallistuskulma: 45,3°
Tulonopeus: 40,2 km/s
Radiantin R,A,: 08:06 (121,7°)
Radiantin Dekl,: 27,4°
Meteoriparvi: Sporadinen
Meteoroidin rataelementit:
Perihelietäisyys: 0,113 AU
Eksentrisyys: 0,946
Inklinaatio: 19,2°
Nousevan solmun pituus: 271,7°
Perihelin argumentti: 325,3°
Keskianomalia: 348,8°
Epookki: 2022 DEC 23 22:01:01
orbit plot

Ei-interaktiivinen kuvaaja | Interaktiivinen kuvaaja

position vs time
speed and acceleration