🇳🇴 🇬🇧 🇩🇪 🇨🇿 🇫🇮

Meteor, poloha: Hovden 2022-12-24 02:27:28 UTC

Soubor KML  |  InteraktivnĂ­ mapa

Mapa zobrazuje dráhy meteoru. Světlejší čáry ukazují směry od pozorovacích stanic při objevení se meteoru a tmavší čáry, kde byl naposledy viděn. Modrá šipka značí viditelnou dráhu meteoru.

static map
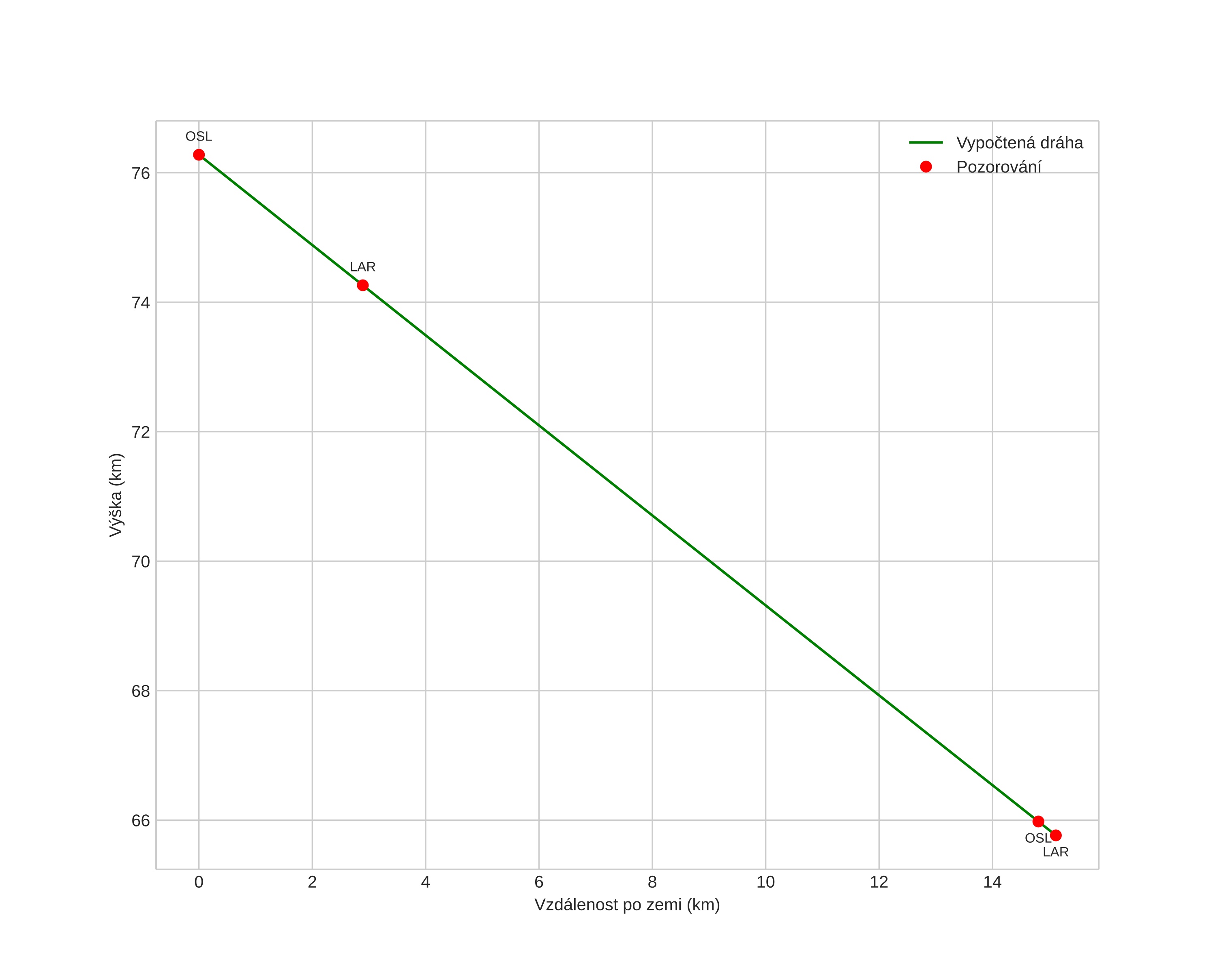
height profile
Atmosférická dráha meteoru:
Počáteční výška: 77,7 km
Konečná výška: 65,7 km
Počáteční poloha: 60,097N 7,285E
Konečná poloha: 60,109N 7,616E
Směr: 85,8°
Sklon: 33,2°
VstupnĂ­ rychlost: 29,4 km/s
Rektascenze radiantu: 04:24 (66,1°)
Deklinace radiantu: 24,1°
MeteorickĂ˝ roj: sporadickĂ˝
Elementy dráhy meteoroidu:
Vzdálenost v periheliu: 0,757 AU
Excentricita: 1,458
Sklon dráhy: 1,6°
Délka vzestupného uzlu: 271,8°
Argument perihelia: 232,4°
Střední anomálie: -12,4°
Epocha: 2022 DEC 24 02:27:28
orbit plot

NeinteraktivnĂ­ graf | InteraktivnĂ­ graf

position vs time
speed and acceleration