🇳🇴 🇬🇧 🇩🇪 🇨🇿 🇫🇮

Meteor Hovdenin yllä 2022-12-24 02:27:28 UTC

KML-tiedosto  |  Interaktiivinen kartta

Kartta näyttää meteorin suuntahavainnot. Vaaleammat viivat näyttävät suunnat havaintoasemilta meteorin ilmestyessä, ja tummemmat viivat näyttävät, missä se viimeksi nähtiin. Sininen nuoli näyttää meteorin näkyvän lennon.

static map
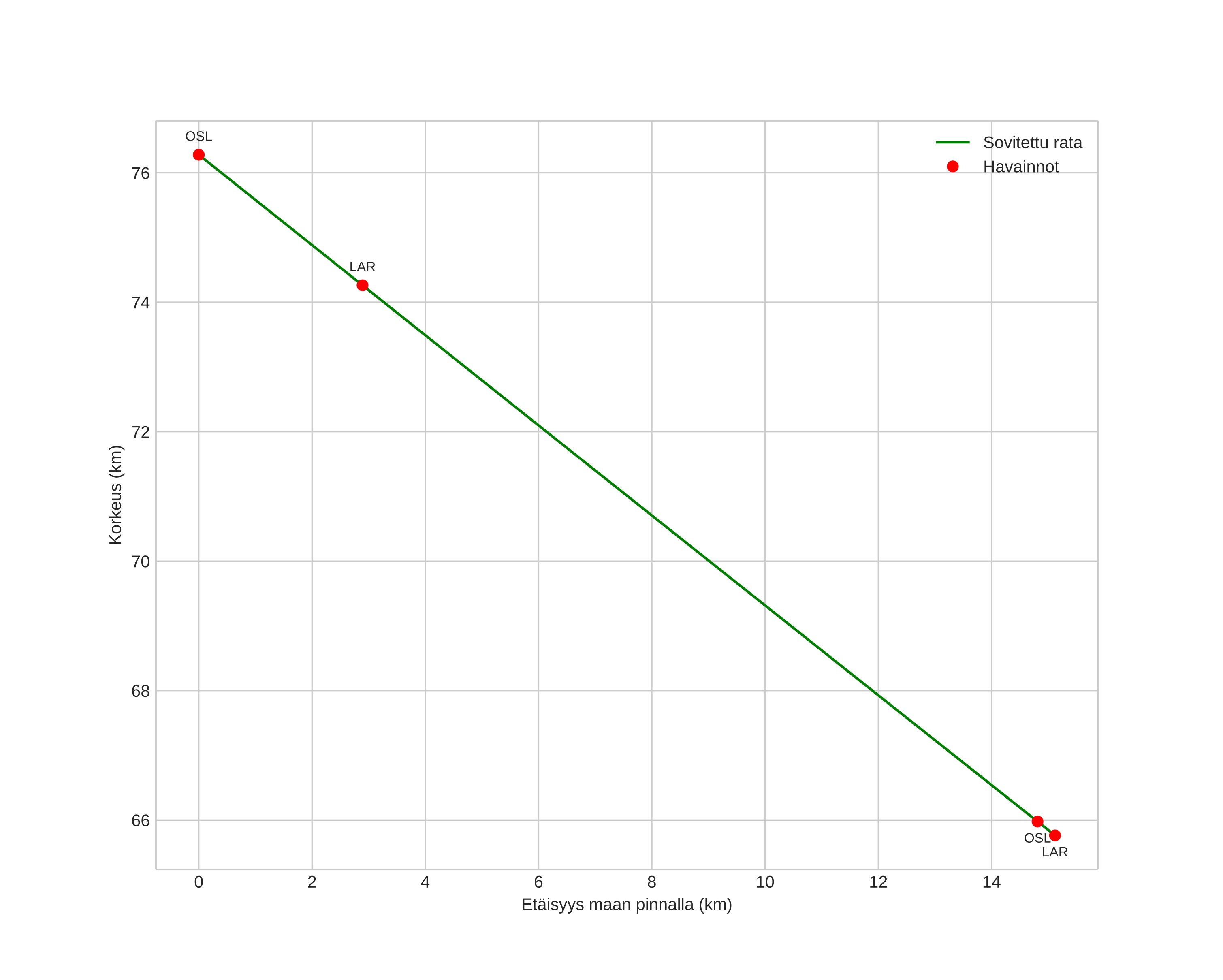
height profile
Meteorin ilmakehärata:
Alkukorkeus: 77,7 km
Loppukorkeus: 65,7 km
Alkupiste: 60,097N 7,285E
Loppupiste: 60,109N 7,616E
Suunta: 85,8°
Kallistuskulma: 33,2°
Tulonopeus: 29,4 km/s
Radiantin R,A,: 04:24 (66,1°)
Radiantin Dekl,: 24,1°
Meteoriparvi: Sporadinen
Meteoroidin rataelementit:
Perihelietäisyys: 0,757 AU
Eksentrisyys: 1,458
Inklinaatio: 1,6°
Nousevan solmun pituus: 271,8°
Perihelin argumentti: 232,4°
Keskianomalia: -12,4°
Epookki: 2022 DEC 24 02:27:28
orbit plot

Ei-interaktiivinen kuvaaja | Interaktiivinen kuvaaja

position vs time
speed and acceleration