🇳🇴 🇬🇧 🇩🇪 🇨🇿 🇫🇮

Meteor, poloha: Nesoddtangen 2022-12-24 21:09:49 UTC

Soubor KML  |  InteraktivnĂ­ mapa

Mapa zobrazuje dráhy meteoru. Světlejší čáry ukazují směry od pozorovacích stanic při objevení se meteoru a tmavší čáry, kde byl naposledy viděn. Modrá šipka značí viditelnou dráhu meteoru.

static map
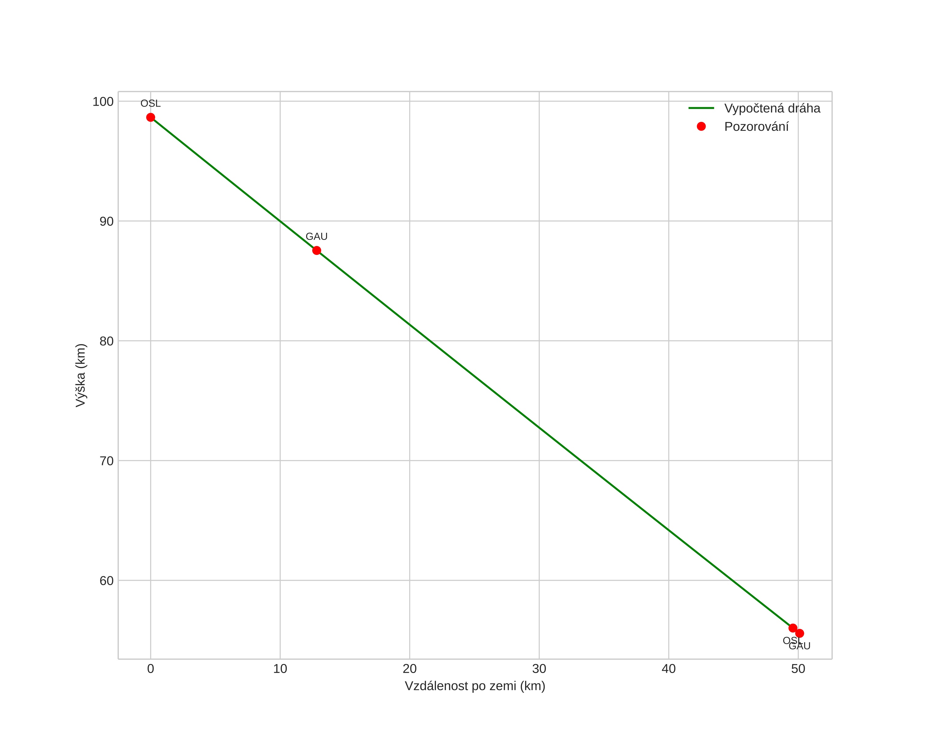
height profile
Atmosférická dráha meteoru:
Počáteční výška: 98,7 km
Konečná výška: 54,8 km
Počáteční poloha: 59,441N 11,246E
Konečná poloha: 59,791N 10,657E
Směr: 319,9°
Sklon: 40,7°
VstupnĂ­ rychlost: 30,5 km/s
Rektascenze radiantu: 06:09 (92,4°)
Deklinace radiantu: 13,7°
MeteorickĂ˝ roj: sporadickĂ˝
Elementy dráhy meteoroidu:
Vzdálenost v periheliu: 0,530 AU
Excentricita: 0,960
Sklon dráhy: 8,9°
Délka vzestupného uzlu: 92,7°
Argument perihelia: 86,7°
Střední anomálie: 359,2°
Epocha: 2022 DEC 24 21:09:49
orbit plot

NeinteraktivnĂ­ graf | InteraktivnĂ­ graf

position vs time
speed and acceleration