🇳🇴 🇬🇧 🇩🇪 🇨🇿 🇫🇮

Meteor Nesoddtangenin yllä 2022-12-24 21:09:49 UTC

KML-tiedosto  |  Interaktiivinen kartta

Kartta näyttää meteorin suuntahavainnot. Vaaleammat viivat näyttävät suunnat havaintoasemilta meteorin ilmestyessä, ja tummemmat viivat näyttävät, missä se viimeksi nähtiin. Sininen nuoli näyttää meteorin näkyvän lennon.

static map
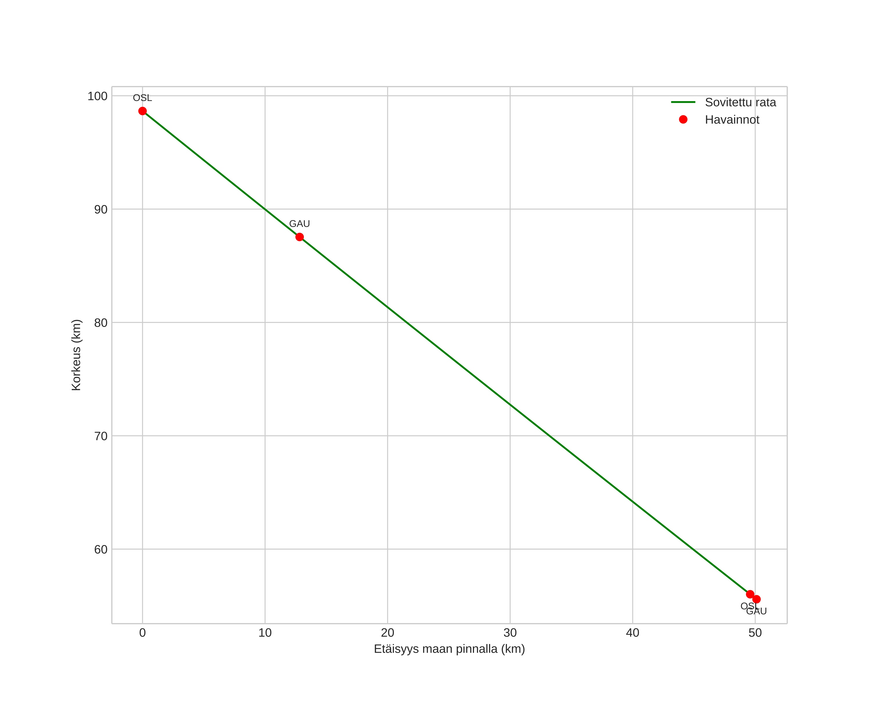
height profile
Meteorin ilmakehärata:
Alkukorkeus: 98,7 km
Loppukorkeus: 54,8 km
Alkupiste: 59,441N 11,246E
Loppupiste: 59,791N 10,657E
Suunta: 319,9°
Kallistuskulma: 40,7°
Tulonopeus: 30,5 km/s
Radiantin R,A,: 06:09 (92,4°)
Radiantin Dekl,: 13,7°
Meteoriparvi: Sporadinen
Meteoroidin rataelementit:
Perihelietäisyys: 0,530 AU
Eksentrisyys: 0,960
Inklinaatio: 8,9°
Nousevan solmun pituus: 92,7°
Perihelin argumentti: 86,7°
Keskianomalia: 359,2°
Epookki: 2022 DEC 24 21:09:49
orbit plot

Ei-interaktiivinen kuvaaja | Interaktiivinen kuvaaja

position vs time
speed and acceleration