🇳🇴 🇬🇧 🇩🇪 🇨🇿 🇫🇮

Meteor, poloha: Mjøndalen 2022-12-27 23:37:02 UTC

Soubor KML  |  InteraktivnĂ­ mapa

Mapa zobrazuje dráhy meteoru. Světlejší čáry ukazují směry od pozorovacích stanic při objevení se meteoru a tmavší čáry, kde byl naposledy viděn. Modrá šipka značí viditelnou dráhu meteoru.

static map
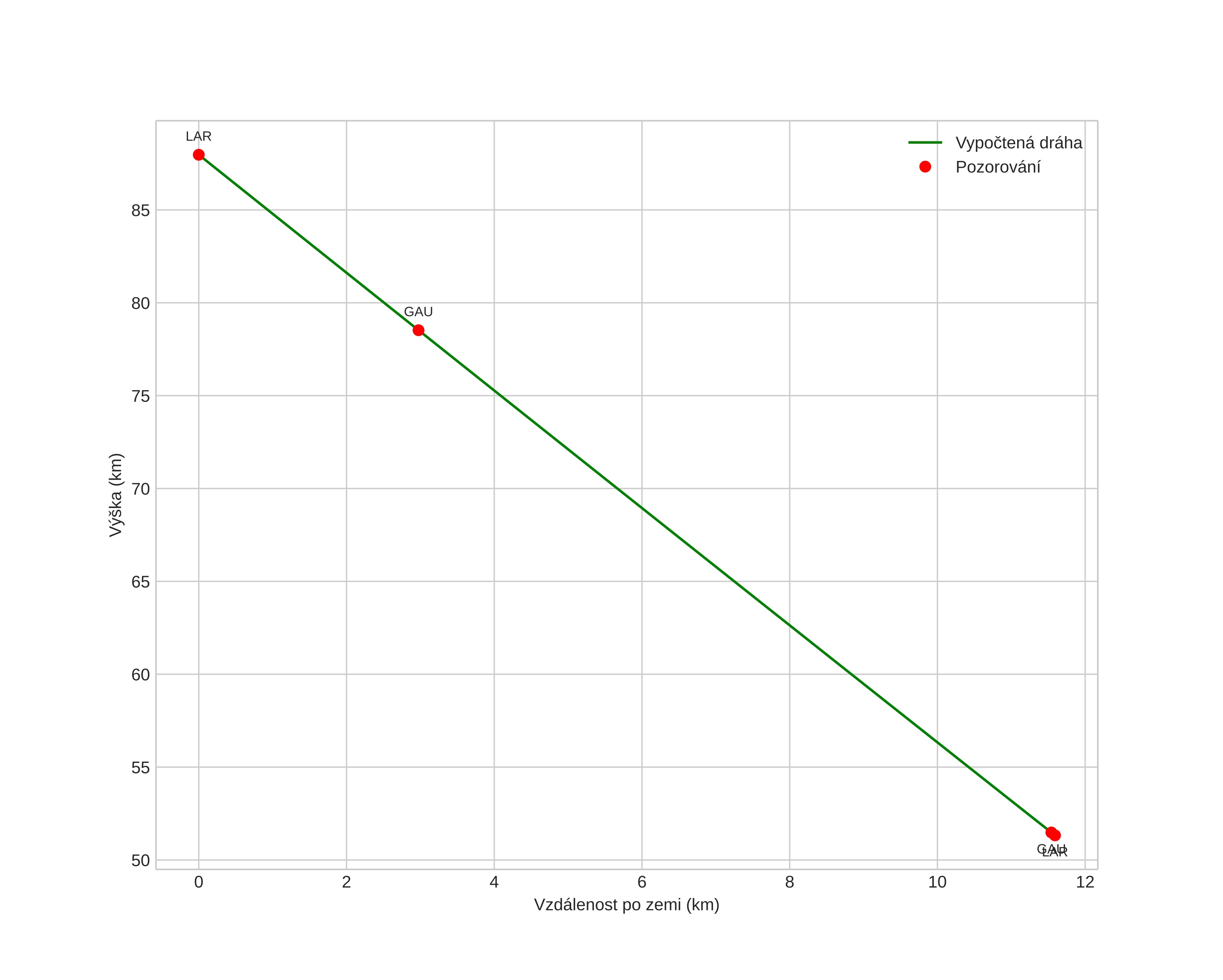
height profile
Atmosférická dráha meteoru:
Počáteční výška: 89,1 km
Konečná výška: 51,5 km
Počáteční poloha: 59,591N 10,028E
Konečná poloha: 59,701N 10,082E
Směr: 14,0°
Sklon: 71,4°
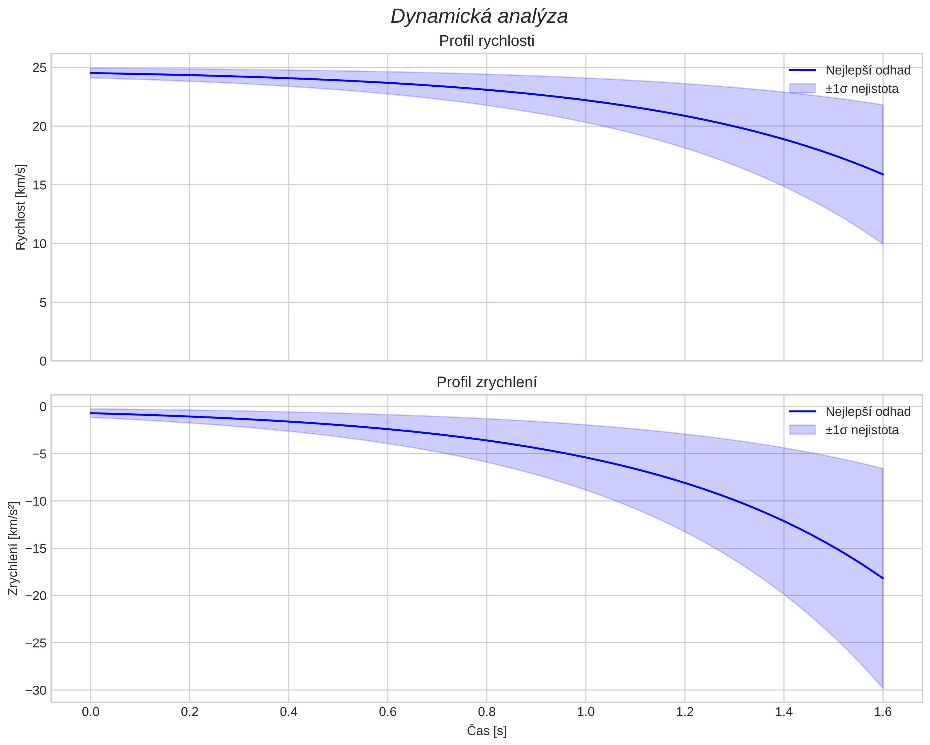
VstupnĂ­ rychlost: 24,0 km/s
Rektascenze radiantu: 06:13 (93,3°)
Deklinace radiantu: 40,1°
MeteorickĂ˝ roj: sporadickĂ˝
Elementy dráhy meteoroidu:
Vzdálenost v periheliu: 0,643 AU
Excentricita: 0,737
Sklon dráhy: 11,0°
Délka vzestupného uzlu: 275,9°
Argument perihelia: 259,4°
Střední anomálie: 348,9°
Epocha: 2022 DEC 27 23:37:02
orbit plot

NeinteraktivnĂ­ graf | InteraktivnĂ­ graf

position vs time
speed and acceleration