🇳🇴 🇬🇧 🇩🇪 🇨🇿 🇫🇮

Meteor Mjøndalenin yllä 2022-12-27 23:37:02 UTC

KML-tiedosto  |  Interaktiivinen kartta

Kartta näyttää meteorin suuntahavainnot. Vaaleammat viivat näyttävät suunnat havaintoasemilta meteorin ilmestyessä, ja tummemmat viivat näyttävät, missä se viimeksi nähtiin. Sininen nuoli näyttää meteorin näkyvän lennon.

static map
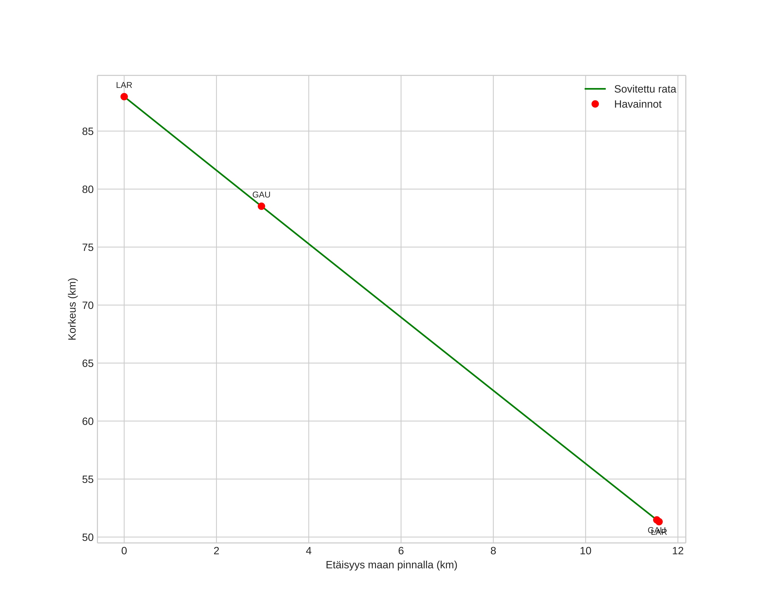
height profile
Meteorin ilmakehärata:
Alkukorkeus: 89,1 km
Loppukorkeus: 51,5 km
Alkupiste: 59,591N 10,028E
Loppupiste: 59,701N 10,082E
Suunta: 14,0°
Kallistuskulma: 71,4°
Tulonopeus: 24,0 km/s
Radiantin R,A,: 06:13 (93,3°)
Radiantin Dekl,: 40,1°
Meteoriparvi: Sporadinen
Meteoroidin rataelementit:
Perihelietäisyys: 0,643 AU
Eksentrisyys: 0,737
Inklinaatio: 11,0°
Nousevan solmun pituus: 275,9°
Perihelin argumentti: 259,4°
Keskianomalia: 348,9°
Epookki: 2022 DEC 27 23:37:02
orbit plot

Ei-interaktiivinen kuvaaja | Interaktiivinen kuvaaja

position vs time
speed and acceleration