🇳🇴 🇬🇧 🇩🇪 🇨🇿 🇫🇮

Meteor, poloha: Elverum 2023-01-20 18:22:38 UTC

Soubor KML  |  InteraktivnĂ­ mapa

Mapa zobrazuje dráhy meteoru. Světlejší čáry ukazují směry od pozorovacích stanic při objevení se meteoru a tmavší čáry, kde byl naposledy viděn. Modrá šipka značí viditelnou dráhu meteoru.

static map
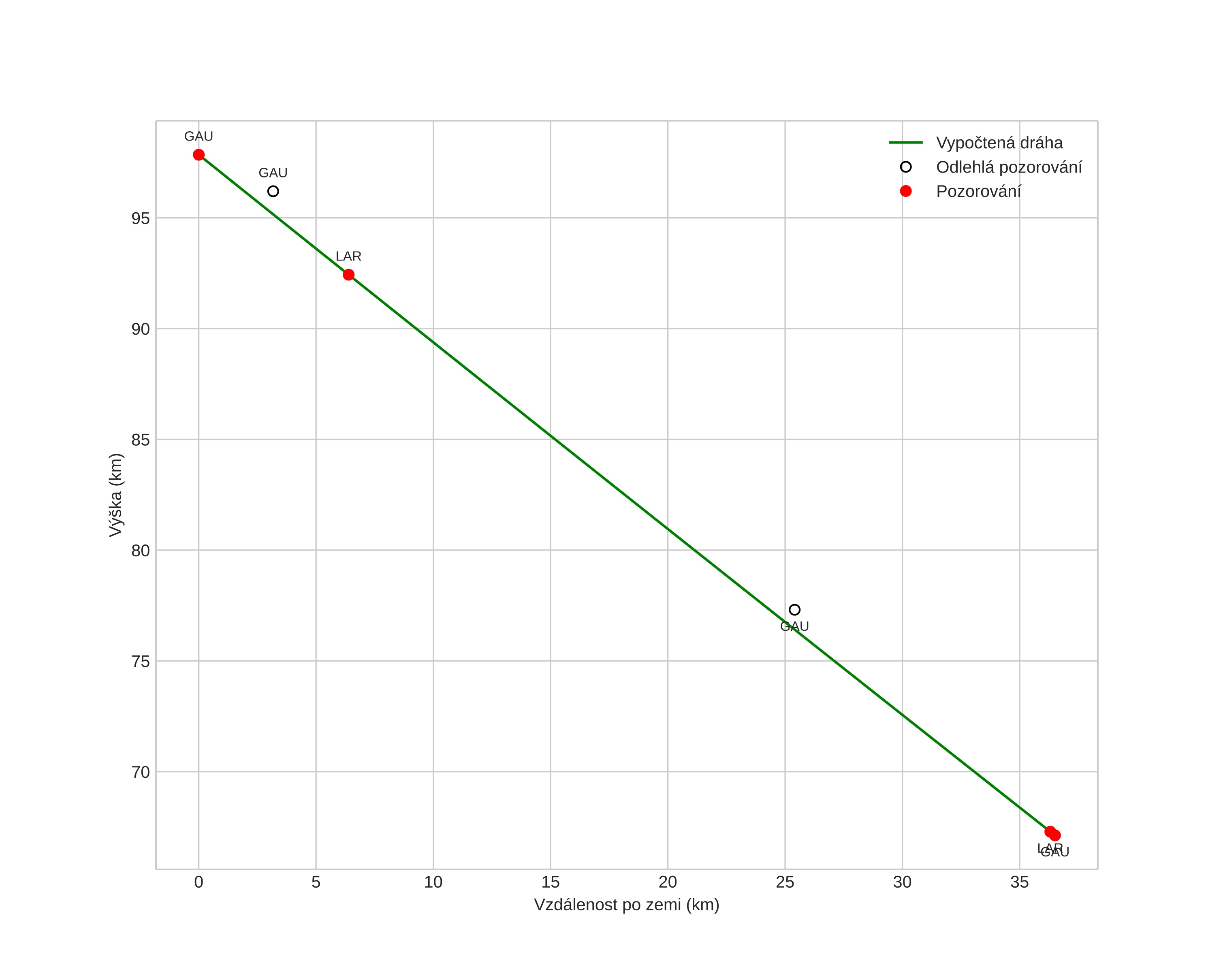
height profile
Atmosférická dráha meteoru:
Počáteční výška: 99,1 km
Konečná výška: 66,0 km
Počáteční poloha: 61,079N 11,566E
Konečná poloha: 60,729N 11,573E
Směr: 179,4°
Sklon: 40,4°
VstupnĂ­ rychlost: 32,8 km/s
Rektascenze radiantu: 15:16 (229,2°)
Deklinace radiantu: 67,8°
MeteorickĂ˝ roj: sporadickĂ˝
Elementy dráhy meteoroidu:
Vzdálenost v periheliu: 0,953 AU
Excentricita: 0,749
Sklon dráhy: 49,6°
Délka vzestupného uzlu: 300,1°
Argument perihelia: 202,1°
Střední anomálie: 357,8°
Epocha: 2023 JAN 20 18:22:38
orbit plot

NeinteraktivnĂ­ graf | InteraktivnĂ­ graf

position vs time
speed and acceleration