🇳🇴 🇬🇧 🇩🇪 🇨🇿 🇫🇮

Meteor Elverumin yllä 2023-01-20 18:22:38 UTC

KML-tiedosto  |  Interaktiivinen kartta

Kartta näyttää meteorin suuntahavainnot. Vaaleammat viivat näyttävät suunnat havaintoasemilta meteorin ilmestyessä, ja tummemmat viivat näyttävät, missä se viimeksi nähtiin. Sininen nuoli näyttää meteorin näkyvän lennon.

static map
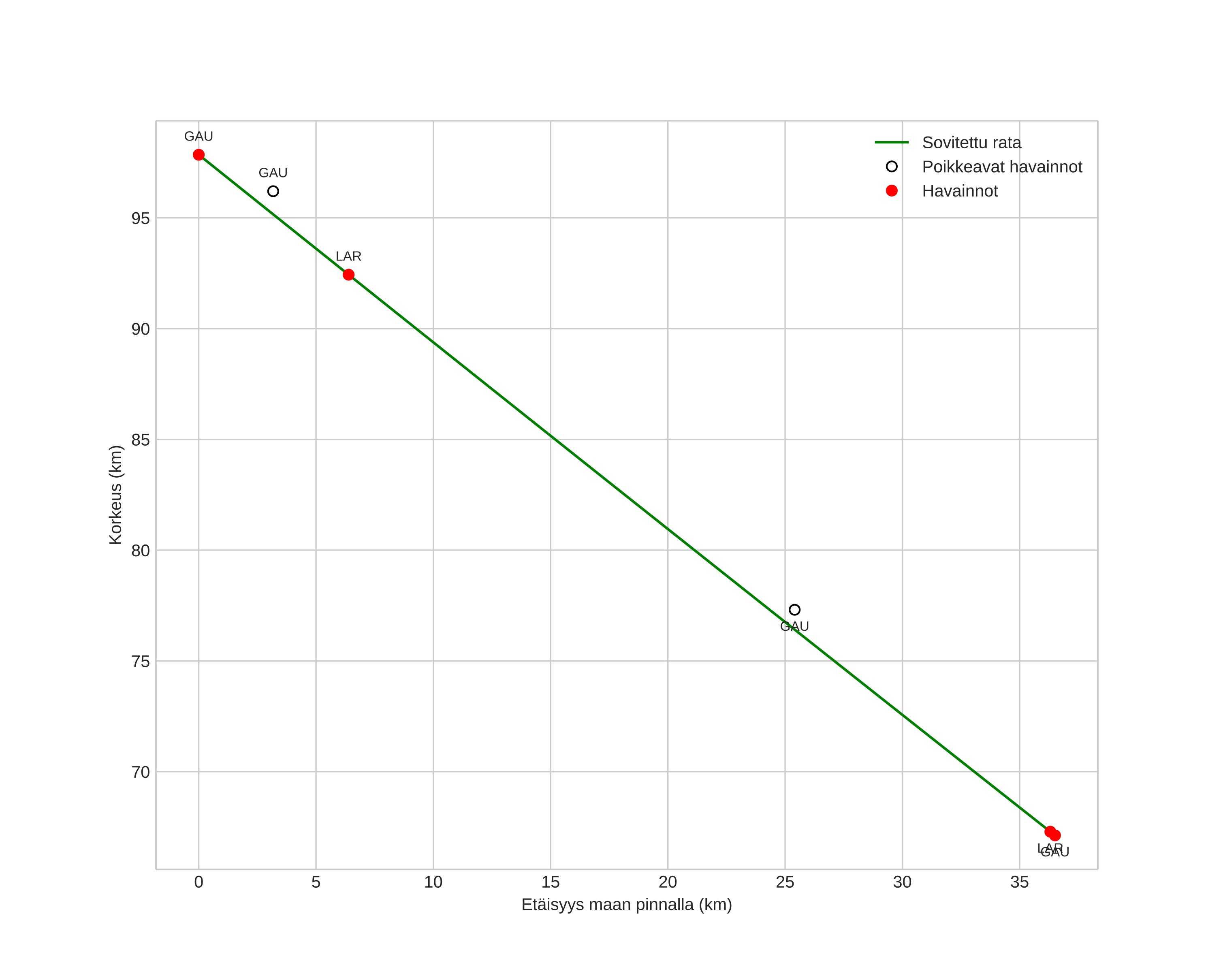
height profile
Meteorin ilmakehärata:
Alkukorkeus: 99,1 km
Loppukorkeus: 66,0 km
Alkupiste: 61,079N 11,566E
Loppupiste: 60,729N 11,573E
Suunta: 179,4°
Kallistuskulma: 40,4°
Tulonopeus: 32,8 km/s
Radiantin R,A,: 15:16 (229,2°)
Radiantin Dekl,: 67,8°
Meteoriparvi: Sporadinen
Meteoroidin rataelementit:
Perihelietäisyys: 0,953 AU
Eksentrisyys: 0,749
Inklinaatio: 49,6°
Nousevan solmun pituus: 300,1°
Perihelin argumentti: 202,1°
Keskianomalia: 357,8°
Epookki: 2023 JAN 20 18:22:38
orbit plot

Ei-interaktiivinen kuvaaja | Interaktiivinen kuvaaja

position vs time
speed and acceleration