🇳🇴 🇬🇧 🇩🇪 🇨🇿 🇫🇮

Meteor, poloha: Ă…motfors 2023-01-20 23:10:19 UTC

Soubor KML  |  InteraktivnĂ­ mapa

Mapa zobrazuje dráhy meteoru. Světlejší čáry ukazují směry od pozorovacích stanic při objevení se meteoru a tmavší čáry, kde byl naposledy viděn. Modrá šipka značí viditelnou dráhu meteoru.

static map
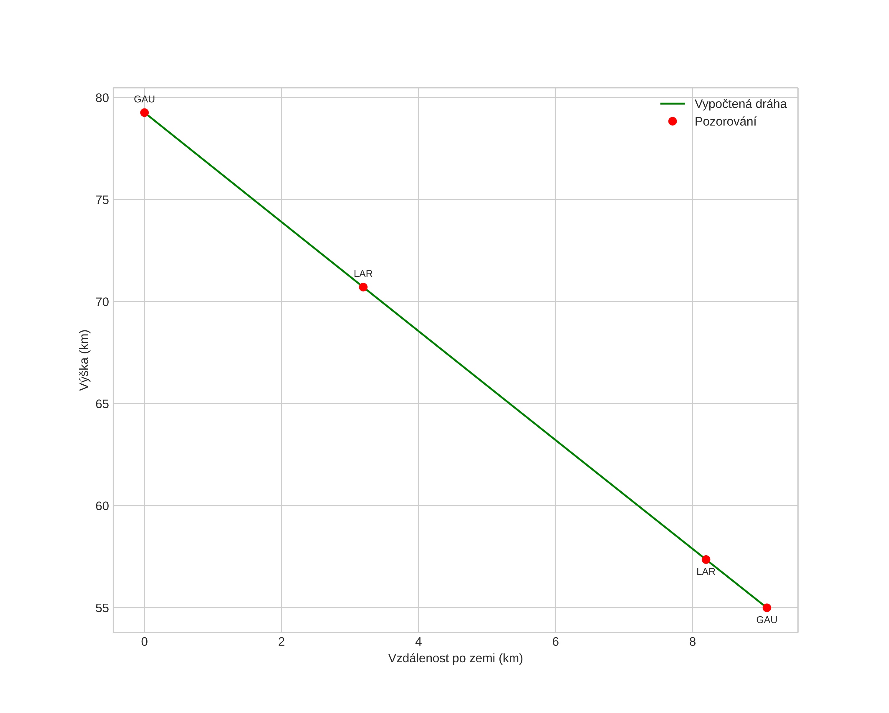
height profile
Atmosférická dráha meteoru:
Počáteční výška: 79,0 km
Konečná výška: 56,4 km
Počáteční poloha: 59,913N 12,432E
Konečná poloha: 59,865N 12,543E
Směr: 130,5°
Sklon: 70,2°
VstupnĂ­ rychlost: 16,2 km/s
Rektascenze radiantu: 04:29 (67,5°)
Deklinace radiantu: 66,6°
MeteorickĂ˝ roj: sporadickĂ˝
Elementy dráhy meteoroidu:
Vzdálenost v periheliu: 0,948 AU
Excentricita: 0,574
Sklon dráhy: 12,9°
Délka vzestupného uzlu: 300,3°
Argument perihelia: 206,0°
Střední anomálie: 354,1°
Epocha: 2023 JAN 20 23:10:19
orbit plot

NeinteraktivnĂ­ graf | InteraktivnĂ­ graf

position vs time
speed and acceleration