🇳🇴 🇬🇧 🇩🇪 🇨🇿 🇫🇮

Meteor Åmotforsin yllä 2023-01-20 23:10:19 UTC

KML-tiedosto  |  Interaktiivinen kartta

Kartta näyttää meteorin suuntahavainnot. Vaaleammat viivat näyttävät suunnat havaintoasemilta meteorin ilmestyessä, ja tummemmat viivat näyttävät, missä se viimeksi nähtiin. Sininen nuoli näyttää meteorin näkyvän lennon.

static map
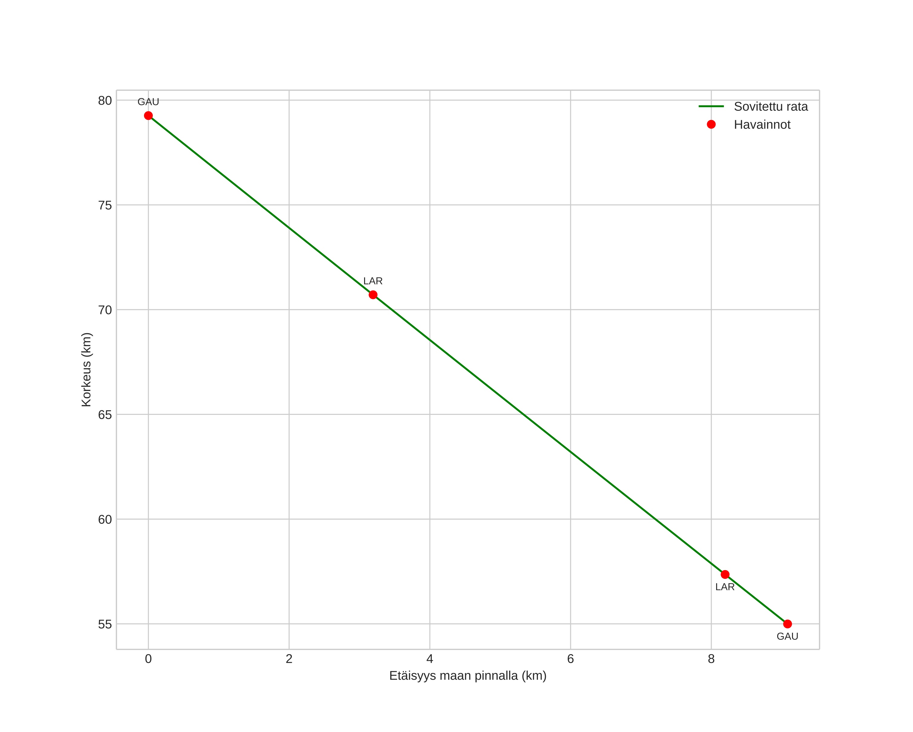
height profile
Meteorin ilmakehärata:
Alkukorkeus: 79,0 km
Loppukorkeus: 56,4 km
Alkupiste: 59,913N 12,432E
Loppupiste: 59,865N 12,543E
Suunta: 130,5°
Kallistuskulma: 70,2°
Tulonopeus: 16,2 km/s
Radiantin R,A,: 04:29 (67,5°)
Radiantin Dekl,: 66,6°
Meteoriparvi: Sporadinen
Meteoroidin rataelementit:
Perihelietäisyys: 0,948 AU
Eksentrisyys: 0,574
Inklinaatio: 12,9°
Nousevan solmun pituus: 300,3°
Perihelin argumentti: 206,0°
Keskianomalia: 354,1°
Epookki: 2023 JAN 20 23:10:19
orbit plot

Ei-interaktiivinen kuvaaja | Interaktiivinen kuvaaja

position vs time
speed and acceleration