🇳🇴 🇬🇧 🇩🇪 🇨🇿 🇫🇮

Meteor, poloha: Leksand 2023-01-21 21:52:07 UTC

Soubor KML  |  InteraktivnĂ­ mapa

Mapa zobrazuje dráhy meteoru. Světlejší čáry ukazují směry od pozorovacích stanic při objevení se meteoru a tmavší čáry, kde byl naposledy viděn. Modrá šipka značí viditelnou dráhu meteoru.

static map
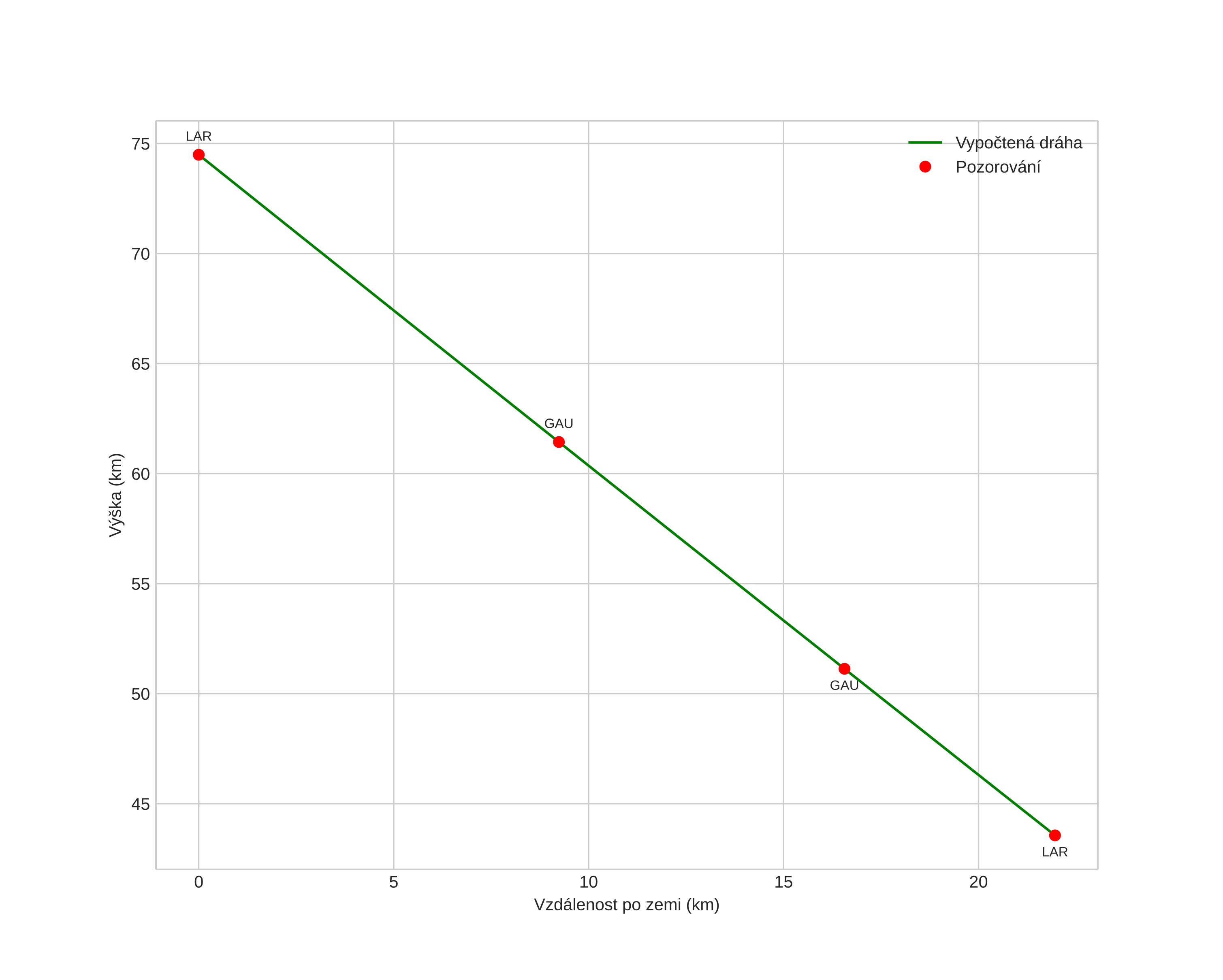
height profile
Atmosférická dráha meteoru:
Počáteční výška: 74,6 km
Konečná výška: 43,5 km
Počáteční poloha: 60,956N 14,666E
Konečná poloha: 60,817N 14,957E
Směr: 134,3°
Sklon: 54,7°
VstupnĂ­ rychlost: 14,3 km/s
Rektascenze radiantu: 00:23 (5,8°)
Deklinace radiantu: 59,0°
MeteorickĂ˝ roj: sporadickĂ˝
Elementy dráhy meteoroidu:
Vzdálenost v periheliu: 0,984 AU
Excentricita: 0,498
Sklon dráhy: 10,9°
Délka vzestupného uzlu: 301,3°
Argument perihelia: 182,1°
Střední anomálie: 359,4°
Epocha: 2023 JAN 21 21:52:07
orbit plot

NeinteraktivnĂ­ graf | InteraktivnĂ­ graf

position vs time
speed and acceleration