🇳🇴 🇬🇧 🇩🇪 🇨🇿 🇫🇮

Meteor Leksandin yllä 2023-01-21 21:52:07 UTC

KML-tiedosto  |  Interaktiivinen kartta

Kartta näyttää meteorin suuntahavainnot. Vaaleammat viivat näyttävät suunnat havaintoasemilta meteorin ilmestyessä, ja tummemmat viivat näyttävät, missä se viimeksi nähtiin. Sininen nuoli näyttää meteorin näkyvän lennon.

static map
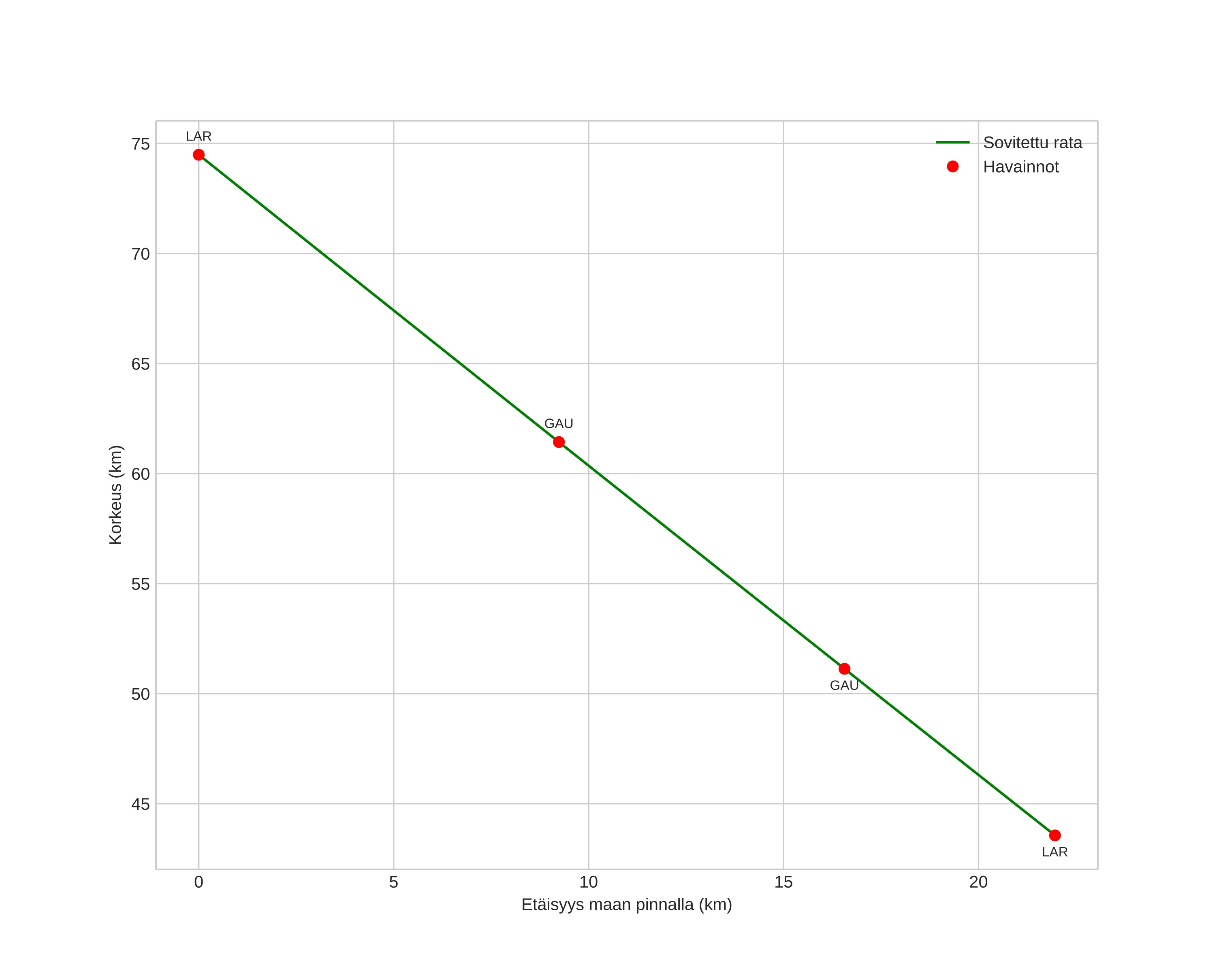
height profile
Meteorin ilmakehärata:
Alkukorkeus: 74,6 km
Loppukorkeus: 43,5 km
Alkupiste: 60,956N 14,666E
Loppupiste: 60,817N 14,957E
Suunta: 134,3°
Kallistuskulma: 54,7°
Tulonopeus: 14,3 km/s
Radiantin R,A,: 00:23 (5,8°)
Radiantin Dekl,: 59,0°
Meteoriparvi: Sporadinen
Meteoroidin rataelementit:
Perihelietäisyys: 0,984 AU
Eksentrisyys: 0,498
Inklinaatio: 10,9°
Nousevan solmun pituus: 301,3°
Perihelin argumentti: 182,1°
Keskianomalia: 359,4°
Epookki: 2023 JAN 21 21:52:07
orbit plot

Ei-interaktiivinen kuvaaja | Interaktiivinen kuvaaja

position vs time
speed and acceleration