🇳🇴 🇬🇧 🇩🇪 🇨🇿 🇫🇮

Meteor, poloha: Dalen 2023-01-26 17:10:03 UTC

Soubor KML

Mapa zobrazuje dráhy meteoru. Světlejší čáry ukazují směry od pozorovacích stanic při objevení se meteoru a tmavší čáry, kde byl naposledy viděn. Modrá šipka značí viditelnou dráhu meteoru.

static map
height profile
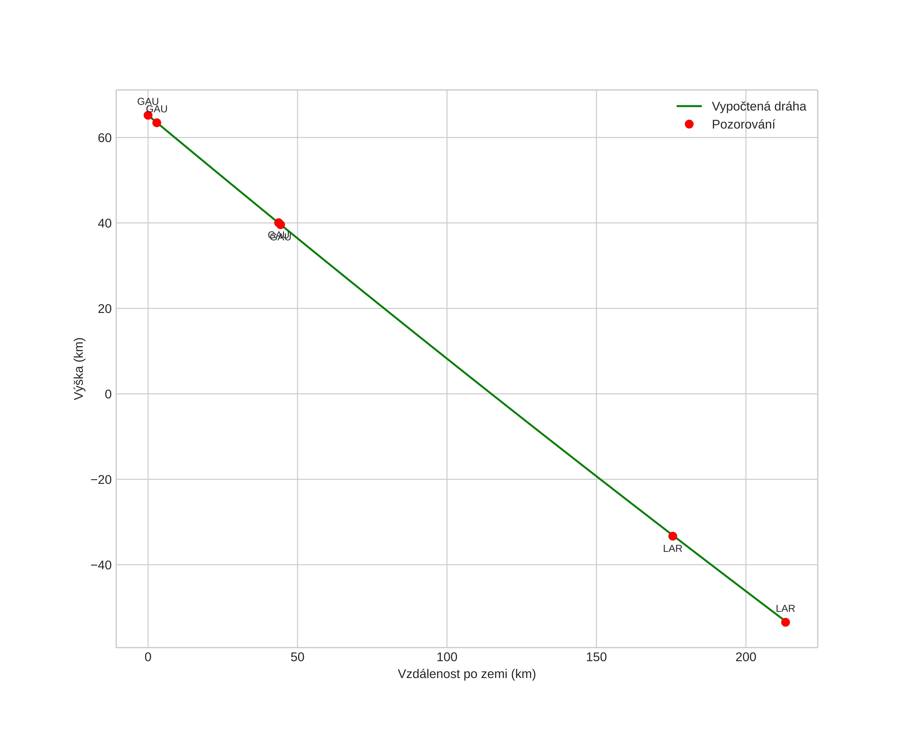
Atmosférická dráha meteoru:
Počáteční výška: 65,2 km
Konečná výška: -53,3 km
Počáteční poloha: 58,910N 11,792E
Konečná poloha: 59,444N 8,195E
Směr: 287,7°
Sklon: 29,0°
VstupnĂ­ rychlost: 53,0 km/s
Rektascenze radiantu: 06:19 (95,0°)
Deklinace radiantu: 15,5°
MeteorickĂ˝ roj: sporadickĂ˝
Elementy dráhy meteoroidu:
Vzdálenost v periheliu: 0,743 AU
Excentricita: 3,822
Sklon dráhy: 7,0°
Délka vzestupného uzlu: 126,2°
Argument perihelia: 46,3°
Střední anomálie: -121,6°
Epocha: 2023 JAN 26 17:10:03
orbit plot

NeinteraktivnĂ­ graf

position vs time
speed and acceleration