🇳🇴 🇬🇧 🇩🇪 🇨🇿 🇫🇮

Meteor Dalenin yllä 2023-01-26 17:10:03 UTC

KML-tiedosto

Kartta näyttää meteorin suuntahavainnot. Vaaleammat viivat näyttävät suunnat havaintoasemilta meteorin ilmestyessä, ja tummemmat viivat näyttävät, missä se viimeksi nähtiin. Sininen nuoli näyttää meteorin näkyvän lennon.

static map
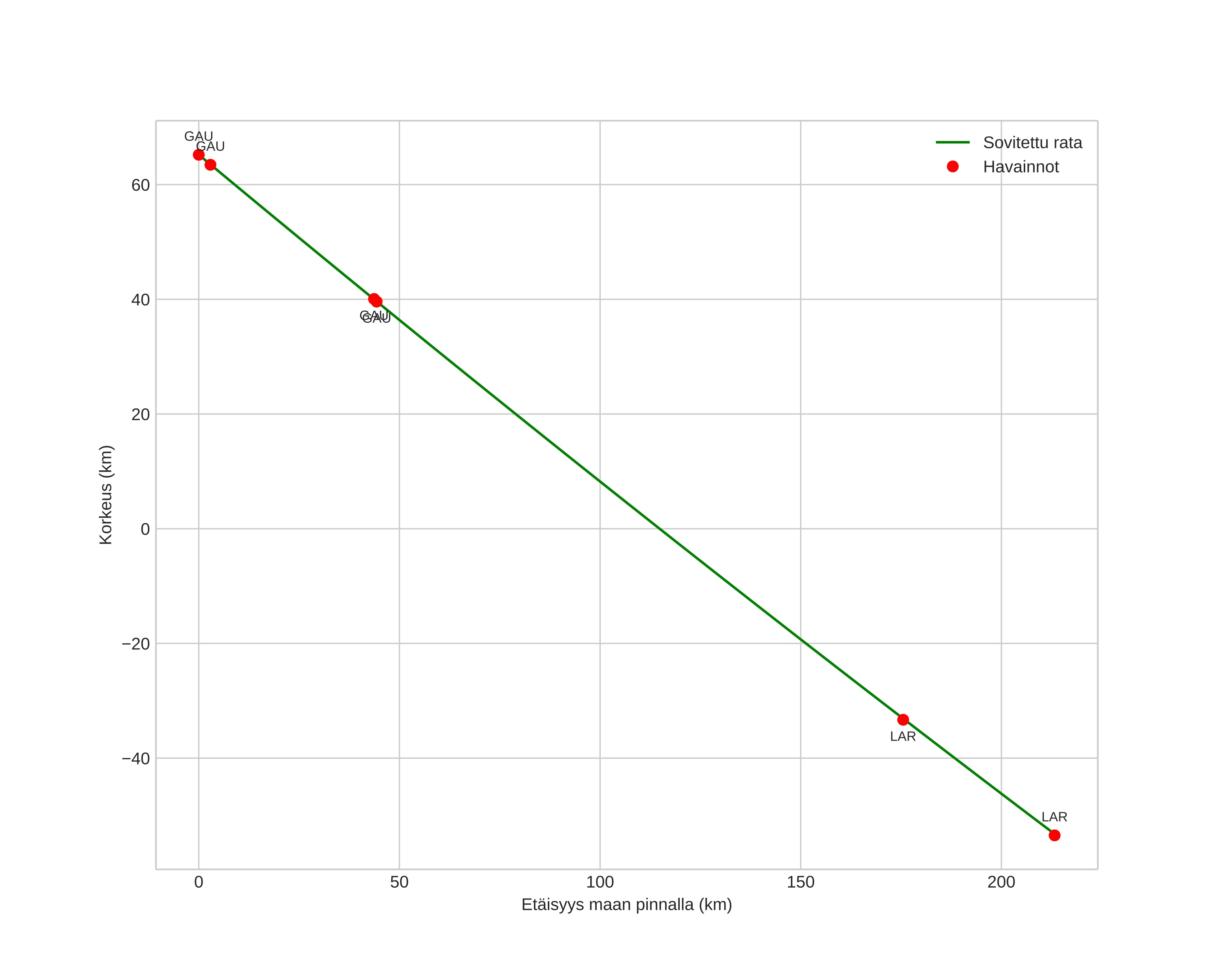
height profile
Meteorin ilmakehärata:
Alkukorkeus: 65,2 km
Loppukorkeus: -53,3 km
Alkupiste: 58,910N 11,792E
Loppupiste: 59,444N 8,195E
Suunta: 287,7°
Kallistuskulma: 29,0°
Tulonopeus: 53,0 km/s
Radiantin R,A,: 06:19 (95,0°)
Radiantin Dekl,: 15,5°
Meteoriparvi: Sporadinen
Meteoroidin rataelementit:
Perihelietäisyys: 0,743 AU
Eksentrisyys: 3,822
Inklinaatio: 7,0°
Nousevan solmun pituus: 126,2°
Perihelin argumentti: 46,3°
Keskianomalia: -121,6°
Epookki: 2023 JAN 26 17:10:03
orbit plot

Ei-interaktiivinen kuvaaja

position vs time
speed and acceleration