🇳🇴 🇬🇧 🇩🇪 🇨🇿 🇫🇮

Meteor, poloha: Engerdal 2023-01-26 19:57:47 UTC

Soubor KML  |  InteraktivnĂ­ mapa

Mapa zobrazuje dráhy meteoru. Světlejší čáry ukazují směry od pozorovacích stanic při objevení se meteoru a tmavší čáry, kde byl naposledy viděn. Modrá šipka značí viditelnou dráhu meteoru.

static map
height profile
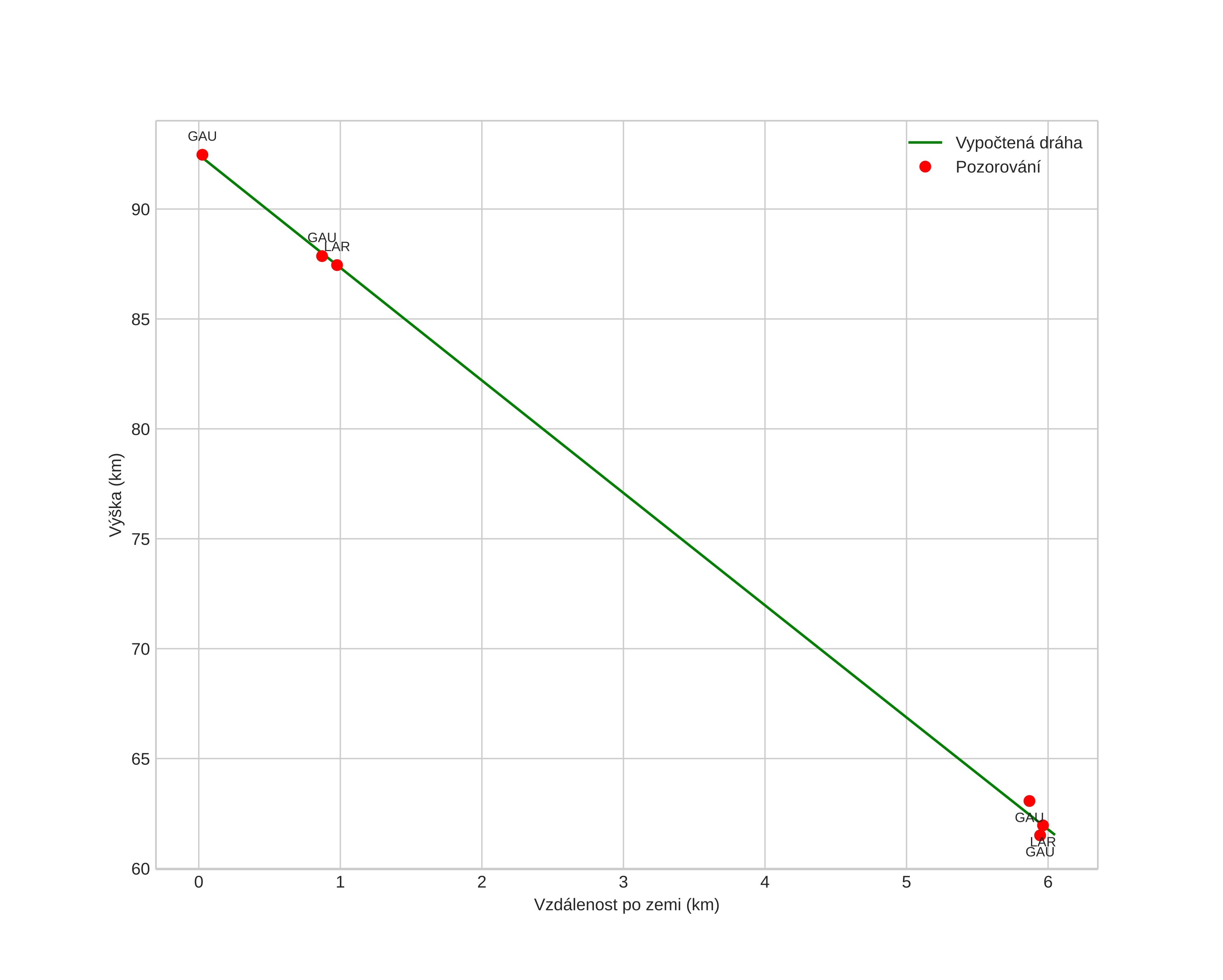
Atmosférická dráha meteoru:
Počáteční výška: 94,8 km
Konečná výška: 58,7 km
Počáteční poloha: 62,296N 12,372E
Konečná poloha: 62,271N 12,401E
Směr: 151,4°
Sklon: 85,0°
VstupnĂ­ rychlost: 17,4 km/s
Rektascenze radiantu: 04:32 (68,1°)
Deklinace radiantu: 66,8°
MeteorickĂ˝ roj: sporadickĂ˝
Elementy dráhy meteoroidu:
Vzdálenost v periheliu: 0,954 AU
Excentricita: 0,704
Sklon dráhy: 14,1°
Délka vzestupného uzlu: 306,3°
Argument perihelia: 202,3°
Střední anomálie: 357,2°
Epocha: 2023 JAN 26 19:57:47
orbit plot

NeinteraktivnĂ­ graf | InteraktivnĂ­ graf

position vs time
speed and acceleration