🇳🇴 🇬🇧 🇩🇪 🇨🇿 🇫🇮

Meteor Engerdalin yllä 2023-01-26 19:57:47 UTC

KML-tiedosto  |  Interaktiivinen kartta

Kartta näyttää meteorin suuntahavainnot. Vaaleammat viivat näyttävät suunnat havaintoasemilta meteorin ilmestyessä, ja tummemmat viivat näyttävät, missä se viimeksi nähtiin. Sininen nuoli näyttää meteorin näkyvän lennon.

static map
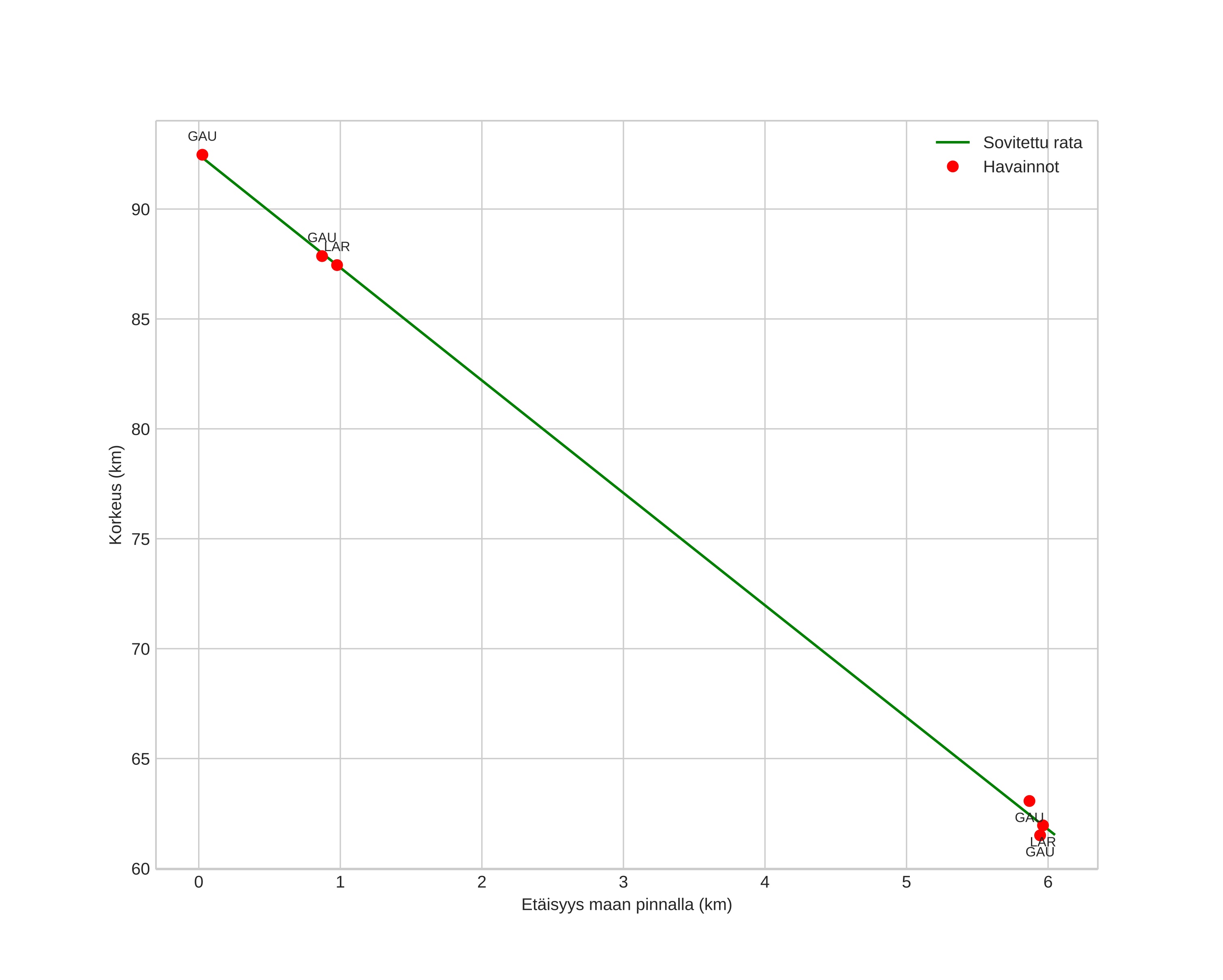
height profile
Meteorin ilmakehärata:
Alkukorkeus: 94,8 km
Loppukorkeus: 58,7 km
Alkupiste: 62,296N 12,372E
Loppupiste: 62,271N 12,401E
Suunta: 151,4°
Kallistuskulma: 85,0°
Tulonopeus: 17,4 km/s
Radiantin R,A,: 04:32 (68,1°)
Radiantin Dekl,: 66,8°
Meteoriparvi: Sporadinen
Meteoroidin rataelementit:
Perihelietäisyys: 0,954 AU
Eksentrisyys: 0,704
Inklinaatio: 14,1°
Nousevan solmun pituus: 306,3°
Perihelin argumentti: 202,3°
Keskianomalia: 357,2°
Epookki: 2023 JAN 26 19:57:47
orbit plot

Ei-interaktiivinen kuvaaja | Interaktiivinen kuvaaja

position vs time
speed and acceleration