🇳🇴 🇬🇧 🇩🇪 🇨🇿 🇫🇮

Meteor, poloha: Farsund 2023-01-30 04:46:42 UTC

Soubor KML  |  InteraktivnĂ­ mapa

Mapa zobrazuje dráhy meteoru. Světlejší čáry ukazují směry od pozorovacích stanic při objevení se meteoru a tmavší čáry, kde byl naposledy viděn. Modrá šipka značí viditelnou dráhu meteoru.

static map
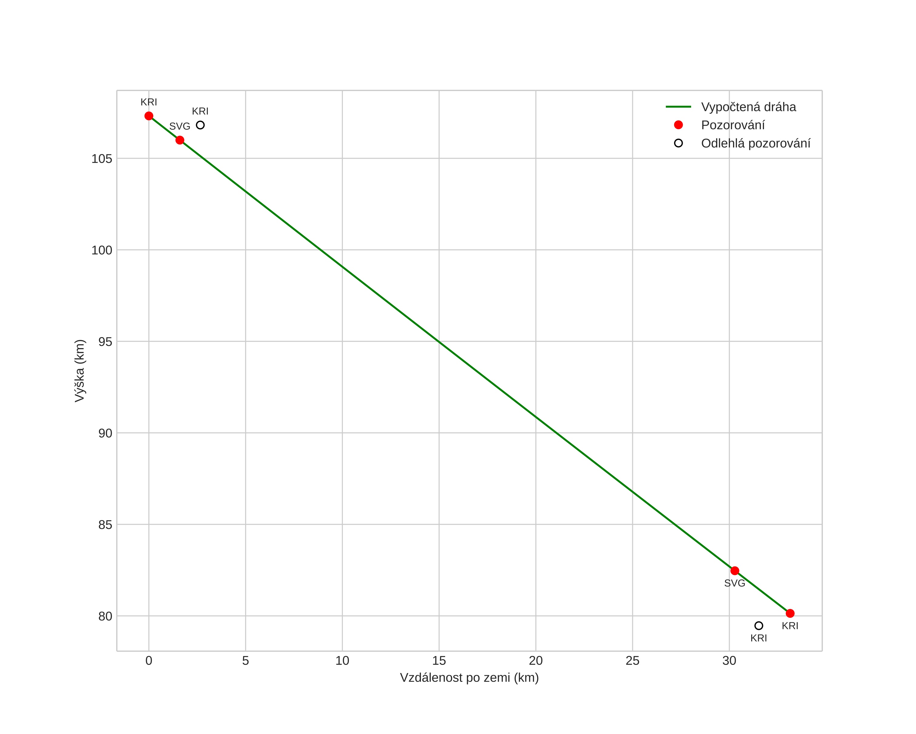
height profile
Atmosférická dráha meteoru:
Počáteční výška: 107,1 km
Konečná výška: 78,2 km
Počáteční poloha: 56,527N 6,883E
Konečná poloha: 56,845N 6,871E
Směr: 358,8°
Sklon: 39,2°
VstupnĂ­ rychlost: 71,0 km/s
Rektascenze radiantu: 13:52 (208,1°)
Deklinace radiantu: 5,5°
MeteorickĂ˝ roj: sporadickĂ˝
Elementy dráhy meteoroidu:
Vzdálenost v periheliu: 0,824 AU
Excentricita: 1,091
Sklon dráhy: 151,0°
Délka vzestupného uzlu: 309,7°
Argument perihelia: 226,7°
Střední anomálie: -1,0°
Epocha: 2023 JAN 30 04:46:42
orbit plot

NeinteraktivnĂ­ graf | InteraktivnĂ­ graf

position vs time
speed and acceleration