🇳🇴 🇬🇧 🇩🇪 🇨🇿 🇫🇮

Meteor Farsundin yllä 2023-01-30 04:46:42 UTC

KML-tiedosto  |  Interaktiivinen kartta

Kartta näyttää meteorin suuntahavainnot. Vaaleammat viivat näyttävät suunnat havaintoasemilta meteorin ilmestyessä, ja tummemmat viivat näyttävät, missä se viimeksi nähtiin. Sininen nuoli näyttää meteorin näkyvän lennon.

static map
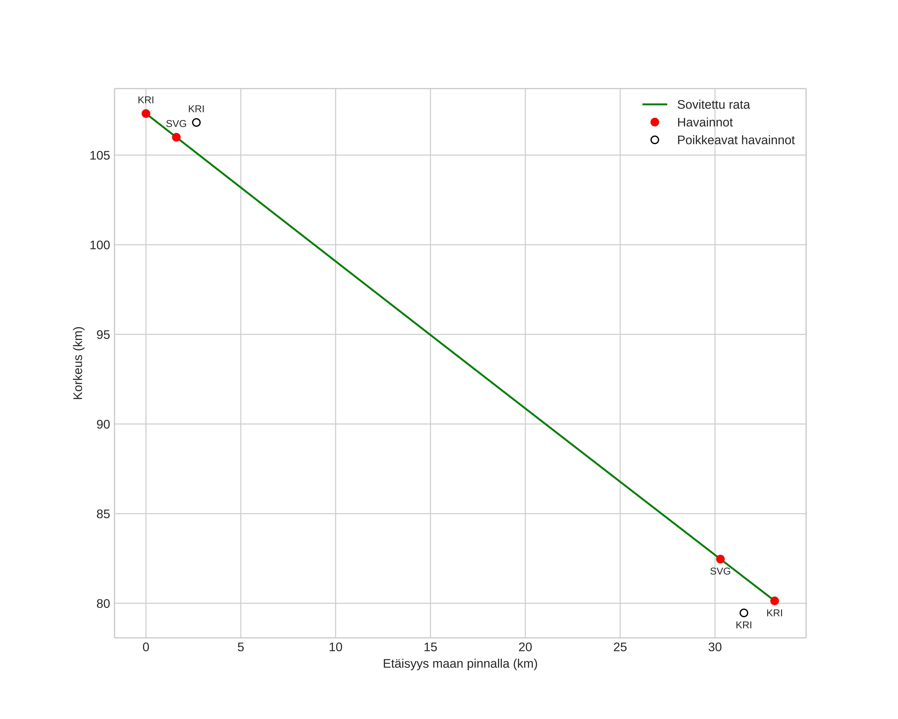
height profile
Meteorin ilmakehärata:
Alkukorkeus: 107,1 km
Loppukorkeus: 78,2 km
Alkupiste: 56,527N 6,883E
Loppupiste: 56,845N 6,871E
Suunta: 358,8°
Kallistuskulma: 39,2°
Tulonopeus: 71,0 km/s
Radiantin R,A,: 13:52 (208,1°)
Radiantin Dekl,: 5,5°
Meteoriparvi: Sporadinen
Meteoroidin rataelementit:
Perihelietäisyys: 0,824 AU
Eksentrisyys: 1,091
Inklinaatio: 151,0°
Nousevan solmun pituus: 309,7°
Perihelin argumentti: 226,7°
Keskianomalia: -1,0°
Epookki: 2023 JAN 30 04:46:42
orbit plot

Ei-interaktiivinen kuvaaja | Interaktiivinen kuvaaja

position vs time
speed and acceleration