🇳🇴 🇬🇧 🇩🇪 🇨🇿 🇫🇮

Meteor, poloha: Insjön 2023-01-30 17:51:28 UTC

Soubor KML  |  InteraktivnĂ­ mapa

Mapa zobrazuje dráhy meteoru. Světlejší čáry ukazují směry od pozorovacích stanic při objevení se meteoru a tmavší čáry, kde byl naposledy viděn. Modrá šipka značí viditelnou dráhu meteoru.

static map
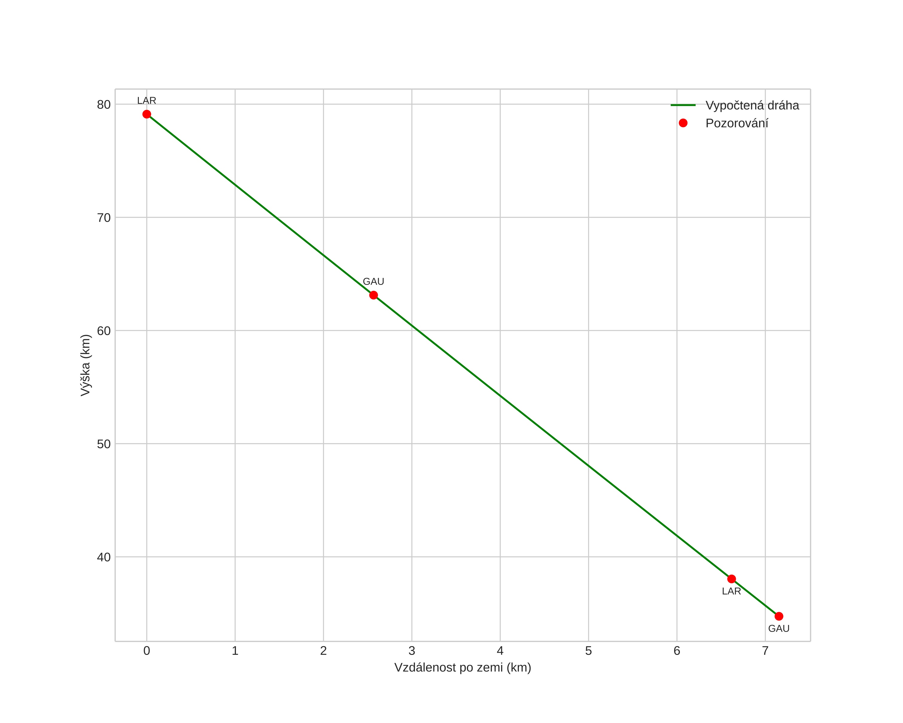
height profile
Atmosférická dráha meteoru:
Počáteční výška: 79,1 km
Konečná výška: 35,8 km
Počáteční poloha: 60,705N 15,434E
Konečná poloha: 60,670N 15,255E
Směr: 248,3°
Sklon: 76,4°
VstupnĂ­ rychlost: 17,9 km/s
Rektascenze radiantu: 05:31 (82,9°)
Deklinace radiantu: 63,0°
MeteorickĂ˝ roj: sporadickĂ˝
Elementy dráhy meteoroidu:
Vzdálenost v periheliu: 0,944 AU
Excentricita: 0,744
Sklon dráhy: 13,3°
Délka vzestupného uzlu: 310,2°
Argument perihelia: 205,6°
Střední anomálie: 357,4°
Epocha: 2023 JAN 30 17:51:28
orbit plot

NeinteraktivnĂ­ graf | InteraktivnĂ­ graf

position vs time
speed and acceleration