🇳🇴 🇬🇧 🇩🇪 🇨🇿 🇫🇮

Meteor Insjönin yllä 2023-01-30 17:51:28 UTC

KML-tiedosto  |  Interaktiivinen kartta

Kartta näyttää meteorin suuntahavainnot. Vaaleammat viivat näyttävät suunnat havaintoasemilta meteorin ilmestyessä, ja tummemmat viivat näyttävät, missä se viimeksi nähtiin. Sininen nuoli näyttää meteorin näkyvän lennon.

static map
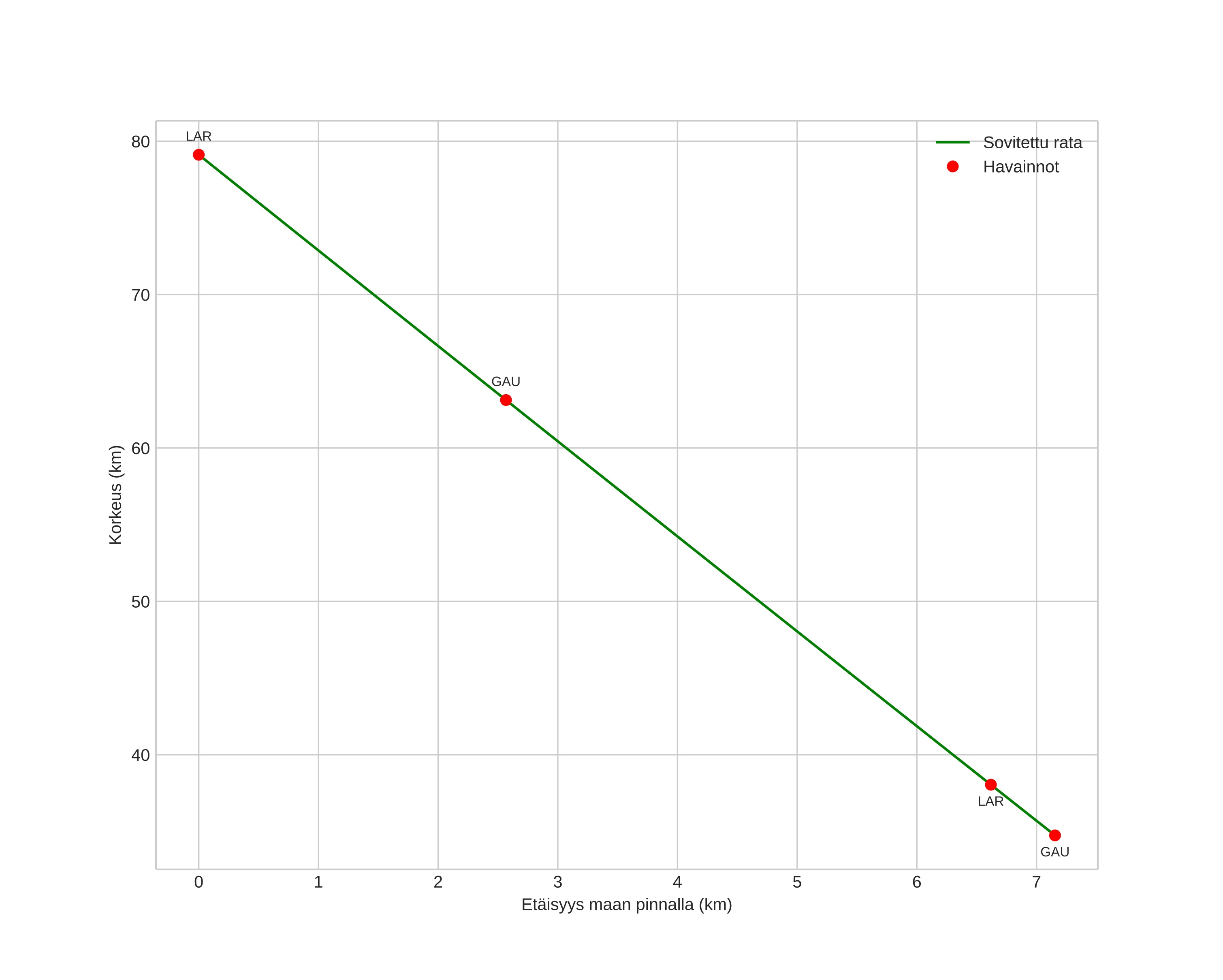
height profile
Meteorin ilmakehärata:
Alkukorkeus: 79,1 km
Loppukorkeus: 35,8 km
Alkupiste: 60,705N 15,434E
Loppupiste: 60,670N 15,255E
Suunta: 248,3°
Kallistuskulma: 76,4°
Tulonopeus: 17,9 km/s
Radiantin R,A,: 05:31 (82,9°)
Radiantin Dekl,: 63,0°
Meteoriparvi: Sporadinen
Meteoroidin rataelementit:
Perihelietäisyys: 0,944 AU
Eksentrisyys: 0,744
Inklinaatio: 13,3°
Nousevan solmun pituus: 310,2°
Perihelin argumentti: 205,6°
Keskianomalia: 357,4°
Epookki: 2023 JAN 30 17:51:28
orbit plot

Ei-interaktiivinen kuvaaja | Interaktiivinen kuvaaja

position vs time
speed and acceleration