🇳🇴 🇬🇧 🇩🇪 🇨🇿 🇫🇮

Meteor, poloha: Varberg 2023-02-02 00:50:46 UTC

Soubor KML  |  InteraktivnĂ­ mapa

Mapa zobrazuje dráhy meteoru. Světlejší čáry ukazují směry od pozorovacích stanic při objevení se meteoru a tmavší čáry, kde byl naposledy viděn. Modrá šipka značí viditelnou dráhu meteoru.

static map
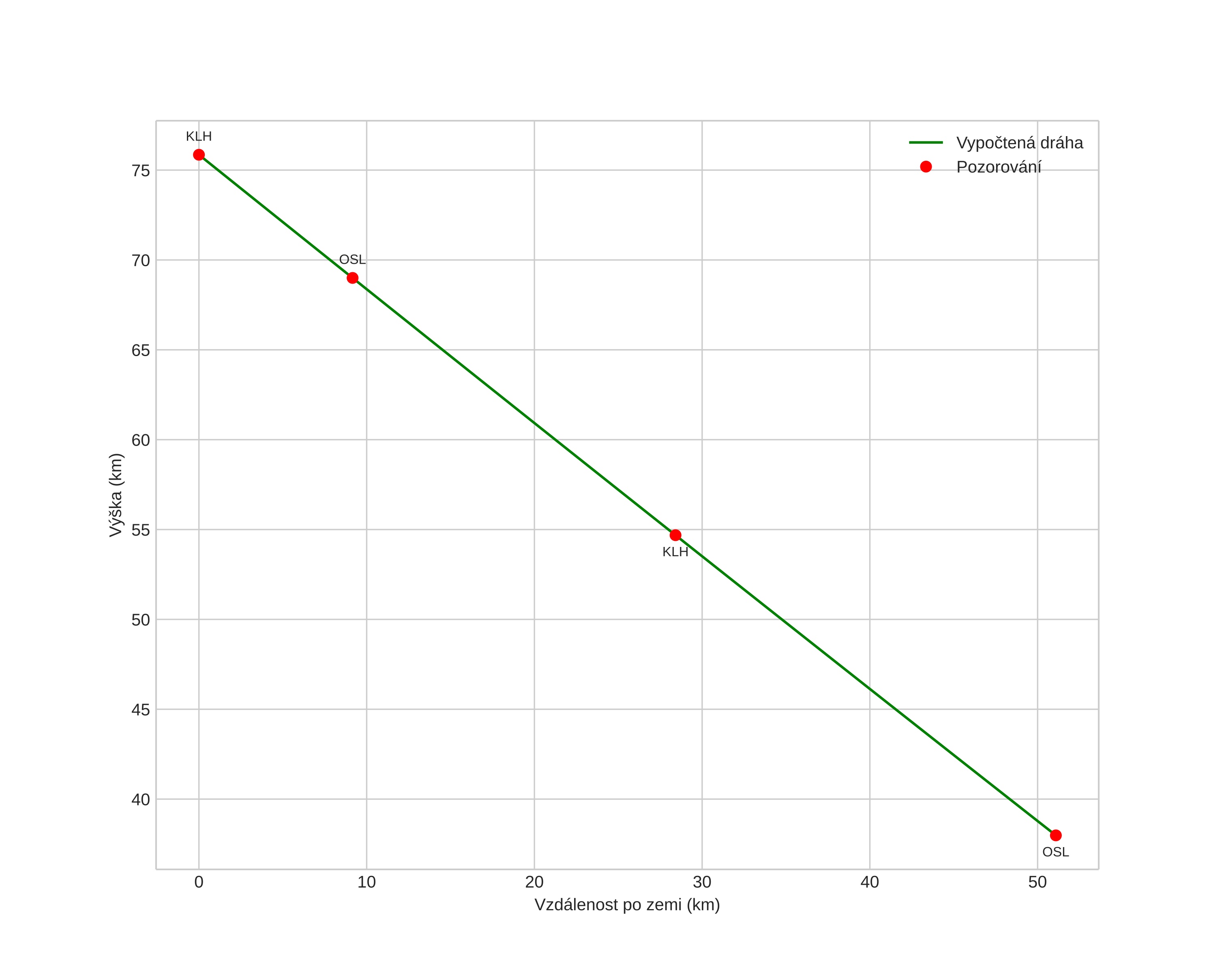
height profile
Atmosférická dráha meteoru:
Počáteční výška: 75,9 km
Konečná výška: 38,0 km
Počáteční poloha: 57,058N 11,420E
Konečná poloha: 57,102N 12,261E
Směr: 84,1°
Sklon: 36,6°
VstupnĂ­ rychlost: 12,9 km/s
Rektascenze radiantu: 05:21 (80,5°)
Deklinace radiantu: 12,0°
MeteorickĂ˝ roj: sporadickĂ˝
Elementy dráhy meteoroidu:
Vzdálenost v periheliu: 0,966 AU
Excentricita: 0,439
Sklon dráhy: 2,2°
Délka vzestupného uzlu: 132,6°
Argument perihelia: 20,9°
Střední anomálie: 352,6°
Epocha: 2023 FEB 02 00:50:46
orbit plot

NeinteraktivnĂ­ graf | InteraktivnĂ­ graf

position vs time
speed and acceleration