🇳🇴 🇬🇧 🇩🇪 🇨🇿 🇫🇮

Meteor Varbergin yllä 2023-02-02 00:50:46 UTC

KML-tiedosto  |  Interaktiivinen kartta

Kartta näyttää meteorin suuntahavainnot. Vaaleammat viivat näyttävät suunnat havaintoasemilta meteorin ilmestyessä, ja tummemmat viivat näyttävät, missä se viimeksi nähtiin. Sininen nuoli näyttää meteorin näkyvän lennon.

static map
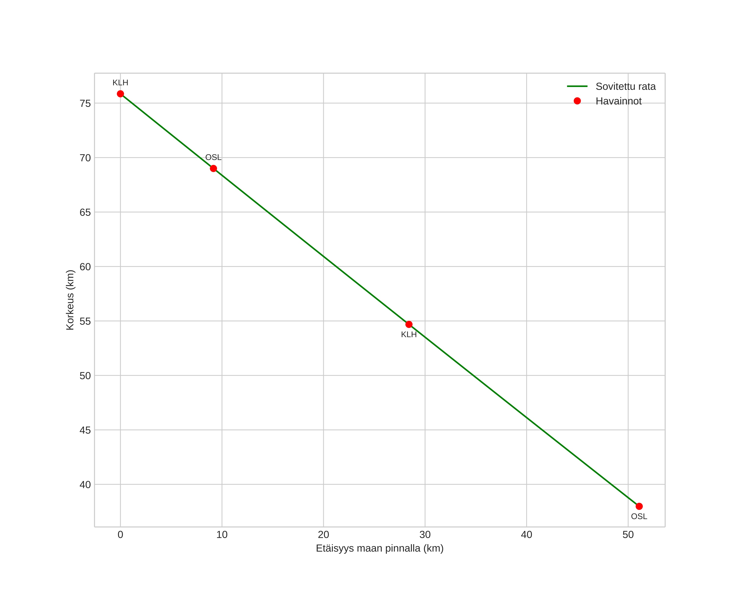
height profile
Meteorin ilmakehärata:
Alkukorkeus: 75,9 km
Loppukorkeus: 38,0 km
Alkupiste: 57,058N 11,420E
Loppupiste: 57,102N 12,261E
Suunta: 84,1°
Kallistuskulma: 36,6°
Tulonopeus: 12,9 km/s
Radiantin R,A,: 05:21 (80,5°)
Radiantin Dekl,: 12,0°
Meteoriparvi: Sporadinen
Meteoroidin rataelementit:
Perihelietäisyys: 0,966 AU
Eksentrisyys: 0,439
Inklinaatio: 2,2°
Nousevan solmun pituus: 132,6°
Perihelin argumentti: 20,9°
Keskianomalia: 352,6°
Epookki: 2023 FEB 02 00:50:46
orbit plot

Ei-interaktiivinen kuvaaja | Interaktiivinen kuvaaja

position vs time
speed and acceleration